Ціль:

Перевірка точності визначення геометричних характеристик тонкостінного сектора кільця.

Література:

А.А. Уманский, Справочник проектировщика расчетно-теоретический, 1973, книга 1.

Формулювання задачі:

Для тонкостінного поперечного перерізу з формою сектора кільця перевірити точність обчислення геометричних характеристик.

Геометрія:

r = 30 см; α = 30°; t = 1,2 см.

Aналітична схема

Модель в Конструкторі перерізів

Aналітична схема
Модель в Конструкторі перерізів

Аналітичне рішення:

A = 2αrt
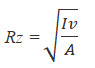
Wy = Iu / R Wz = Iv / R
Ip = Iu + Iv

Порівняння результатів розрахунку:

Параметр Теорія LIRA-FEM Похибка, %
Площа, A см2 188,495 188,49 0,0027
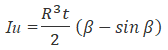
Момент інерції відносно центральної осі U, Iu см4 98852,613 98829,999 0,0229
Момент інерції відносно центральної осі V, Iv см4 64605,446 64590,667 0,0229
Крутильний момент інерції, It см4 90,478 90,474 0,0044
Радіус інерції відносно головної осі Y1, Ry мм 229,005 228,98 0,0109
Радіус інерції відносно головної осі Z1, Rz мм 185,133 185,12 0,007
Момент опору відносно головної осі Y1, Wy см3 3295,087 3230,017 1,9748
Момент опору відносно головної осі Z1, Wz см3 2153,515 1999,104 7,1702
Полярний момент інерції, Ip см4 163458,059 163420,665 0,0229
Полярний радіус інерції, ip см 294,478 294,45 0,0095
Полярний момент опору, Wp см3 4574,867 4580,713 0,1276

Завантажити приклад


Помилка в тексті? Виділіть її та натисніть Ctrl + Enter, щоб повідомити нам.



Коментарі

Написати