1. Стержневі аналоги. Поняття та призначення

Система «Стержневі аналоги» дозволяє виконати аналіз складених конструкцій як стержнів. Складеними будемо називати конструкції, що моделюються набором скінченних елементів, які утворюють єдину систему. Деякі зі складених конструкцій можна розглядати як подібні до стержнів (рис.1).

Примітка. Стержневий елемент - це елемент конструкції, в якому один з розмірів значно більший за два інші (колони, стійки, балки, ригелі і т.д.). До них можна віднести елементи, які мають два порівняльні розміри (стіни, пілони, стовпи, діафрагми і т.д.). Як стержневі можна розглядати елементи, у яких відстань між точками з нульовим моментом l0 дорівнює подвоєній висоті перерізу [1].

Рис. 1. Приклад конструкцій, які можна розглядати як подібні до стержнів:
а) перемички, простінки; б) пілон

Рис. 1. Приклад конструкцій, які можна розглядати як подібні до стержнів: а) перемички, простінки

а)

Рис. 1. Приклад конструкцій, які можна розглядати як подібні до стержнів: б) пілон

б)

У таких подібних стержнях складених конструкцій існує необхідність отримати не лише внутрішні зусилля у вихідних скінченних елементах, а й внутрішні зусилля у розрахункових перерізах. Цю задачу покликана вирішувати система «Стержневі аналоги».

Стержневий аналог (СА) (рис. 2) — це група скінченних елементів та їх вузлів, логічно пов'язаних за певним правилом, що визначає особливий алгоритм обчислення внутрішніх зусиль в одному стержневому скінченному елементі. Цей стержневий скінченний елемент будемо називати цільовим стержнем (ЦС). Внутрішні зусилля в розрахункових перерізах цільового стержня обчислюються не на основі переміщень його вузлів, а шляхом підсумовування вузлових реакцій від наборів обраних скінченних елементів. Передбачається, що кожен такий набір скінченних елементів формує собою складений поперечний переріз аналізованої конструкції, а вузли, реакції в яких підсумовуються, лежать у площині цього перерізу. Такі вузли та елементи будемо називати вихідними об'єктами стержневого аналога..

Рис. 2. Стержневий аналог

Рис. 2. Стержневий аналог: a) цільовий стержень; б) вузли та елементи початкового перерізу; в) вузли та елементи кінцевого перерізу; г) вихідні об'єкти стержневого аналога

Під вузловими реакціями (вузловими зусиллями) скінченного елементу розуміється результуюча сила та результуючий момент, прикладені у вузлі елемента, які являють собою вплив інших елементів моделі на даний вузол даного скінченного елементу.

Вектор вузлових реакцій i-го скінченного елементу обчислюється по формулі (1):

ф-ла 1.png

(1)

де Ki - матриця жорсткості i-го скінченного елементу,
Ui - вектор переміщень вузлів, що відносяться до i-го скінченного елементу.

2. Вимоги до скінченних елементів та вузлів стержневих аналогів

Вихідними скінченними елементами стержневого аналогу можуть бути стержневі, пластинчасті, об'ємні скінченні елементи, спецелементи, а також всілякі їх комбінації (рис.3).

Примітка. Серед вихідних скінченних елементів стержневого аналогу не може бути цільових стержнів інших стержневих аналогів. При цьому вихідні елементи та вузли можуть бути такими для кількох стержневих аналогів. Цільовий елемент стержневого аналогу може бути двовузловим скінченним елементом будь-якого типу, крім спеціальних. За умовчанням під час створення стержневого аналогу застосовується тип КЕ 10.

Рис. 3. Стержневі аналоги з вихідними елементами

Рис. 3. Стержневі аналоги з вихідними елементами: а) стержень; б) пластини; в) об'ємні скінченні елементи

Для визначення зусиль у розрахункових перерізах цільового стержня задаються набори вихідних вузлів та елементів, що утворюють плоскі складені перерізи конструкції, що розглядається. У набір, що утворює складений переріз, включаються вузли, які лежать у площині цього перерізу, і скінченні елементи, що примикають до площини перерізу вузлами: стержні - одним вузлом (рис.3 а), пластини - одним вузлом або ребром (рис.3 б), об'ємні КЕ - одним вузлом, ребром або гранню (рис.3 в).

Примітка. Два складені перерізи стержневого аналогу можуть мати спільні елементи, але не повинні мати спільних вузлів.

Цільовий стержень має два розрахункові перерізи - на початку та в кінці. Якщо для аналізу складеної конструкції потрібна більша кількість розрахункових перерізів по її довжині, необхідно створити ланцюг стержневих аналогів (рис. 4).

Рис. 4. Ланцюг стержневих аналогів (розрахункова схема таврової балки)

Рис. 4. Ланцюг стержневих аналогів (розрахункова схема таврової балки)

Для правильної передачі зусиль на цільовий стержень накладено низку обмежень, які слід врахувати під час його побудови:

  • Цільовий стержень повинен мати довжину, що дорівнює довжині складеної конструкції.
  • Цільовий стержень повинен розташовуватися строго паралельно до складеної конструкції та не може бути нахилений.
  • Площини початкового та кінцевого розрахункових перерізів цільового стержня повинні співпадати з відповідними площинами вихідних складених перерізів конструкції.

Примітка. Стержневі аналоги можуть бути розраховані лише в основній схемі, але не у складі суперелементів. Включення суперелементів до складу вихідних об'єктів стержневих аналогів також не допускається.

3. Алгоритм обчислення внутрішніх зусиль

Внутрішні зусилля у розрахунковому поперечному перерізі цільового стержня обчислюються таким чином.

1. Проводиться розрахунок усієї моделі, обчислюються вузлові реакції від усіх елементів.

2. У складеному перерізі, утвореному n вихідними вузлами та m елементами, обчислюються підсумовані вузлові реакції Rc та Mc від даних елементів (рис. 5).

Рис. 5. До обчислення підсумованих вузлових реакцій

Рис. 5. До обчислення підсумованих вузлових реакцій

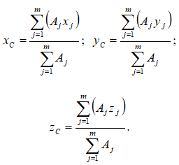
2.1. Визначається геометричний центр C складеного перерізу на основі площ примикання Aj з центрами ваги (xj; yj; zj) (2) вихідних скінченних елементів до площини складеного перерізу: для стержня площа його примикання розраховується на основі площі перерізу, для пластини - на основі товщини пластини та відстані між вузлами, для об'ємного КЕ - як площа грані, що прилягає до площини складеного перерізу.

ф-ла 2.png

(2)

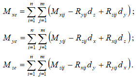
2.2. Вузлові реакції від вихідних елементів - Rij (4) і Mij (5) - у складеному перерізі підсумовуються з урахуванням плеча d (3) між точкою вузла Ni та геометричним центром перерізу C.

ф-ла 3.png

(3)

ф-ла 4.png

(4)

ф-ла 5.png

(5)

3. Приведені до центру складеного перерізу підсумовані вузлові реакції інтерпретуються як внутрішні зусилля у відповідному розрахунковому перерізі цільового стержня шляхом перетворення глобальної системи координат на місцеву систему координат складеного перерізу. Місцева система координат складеного перерізу визначається як система координат з початком у геометричному центрі складеного перерізу та осями, паралельними місцевим осям цільового стержня.

4. Область застосування стержневих аналогів

Стержневі аналоги в ПК ЛІРА-САПР можуть застосовуватися для визначення внутрішніх зусиль при:

  1. лінійних статичних та динамічних розрахунках (крім динаміки у часі);
  2. нелінійних розрахунках на останній стадії навантаження (повне навантаження);
  3. розрахунках по методиках інженерної нелінійності;
  4. розрахунках із змінною розрахунковою схемою (моделювання процесів монтажу та демонтажу) при умові, що всі вихідні елементи стержневого аналогу мають однакові стадії монтажу та демонтажу (цільові стержні рекомендується включати в ті ж стадії монтажу та демонтажу, що й вихідні об'єкти відповідних стержневих аналогів).

5. Робота системи «Стержневі аналоги» в ПК ЛІРА-САПР

5.1. Створення стержневих аналогів

Створення, редагування та видалення стержневих аналогів виконується за допомогою діалогового вікна «Стержневі аналоги» (рис.6) наступними способами:

  1. Вручну із зазначенням стержня, який передбачається як цільовий елемент стержневого аналогу, а також наборів вихідних вузлів та елементів, що утворюють початковий та кінцевий складені перерізи стержневого аналогу.
  2. Груповим автоматизованим способом:
    • по створеним уздовж заданого вектору цільовим стержням;
    • по вказаним цільовим стержням.

Для стержневого аналогу, що додається вручну, спочатку задається звичайний стержневий елемент відповідної довжини при дотриманні низки умов, в першу чергу паралельності з вихідною складеною конструкцією (рис. 6). Далі на першій закладці діалогового вікна «Стержневі аналоги» !1-вкладка.png користувач встановлює в'язь між складеними перерізами вихідної конструкції та цільовим стержнем. Заповнюються наступні рядки редагування:

  • номер цільового стержня A - це номер стержня, який буде включений у стержневий аналог як цільовий (рис. 6, а);
  • номери вузлів початкового поперечного перерізу 1:N - це вузли вихідних елементів складеної конструкції, що утворюють розрахунковий переріз на початку стержневого аналогу;
  • номери елементів початкового поперечного перерізу 1:E - це елементи складеної конструкції, яким належать вузли списку 1:N (рис. 6, б);
  • номери вузлів кінцевого поперечного перерізу 2:N - це вузли вихідних елементів складеної конструкції, що утворюють розрахунковий переріз в кінці стержневого аналогу;
  • номери елементів кінцевого поперечного перерізу 2:E - це елементи складеної конструкції, яким належать вузли списку 2:N (рис. 6, в).

За допомогою команди «Отримати із відмічених» Получить из отмеченных.png (рис. 6, д) можна отримати по заданому номеру цільового стержня з відмічених на схемі елементів необхідні для створення СА номери вузлів та номери елементів (вихідних об'єктів) та внесення їх до списків 1:N, 1:E, 2:N, 2:E.

Для вказаного цільового стержня (рис.6, а) серед відмічених на схемі вихідних елементів (рис. 6, г) шукаються ті, що примикають до площин початкового (рис. 6, б) і кінцевого (рис. 6, в) перерізів цільового стержня з потрібної сторони (всередину стержня). У набір, що утворює складений переріз, включаються вузли, що лежать у площині складеного перерізу, та кінцеві елементи, що примикають до площини перерізу вузлами: стержні – одним вузлом, пластини – одним вузлом або ребром, об'ємні КЕ – одним вузлом, ребром або гранню.

 Примітка.  Такий самий механізм пошуку вихідних об'єктів задіяний на другій закладці (по створених вздовж заданого вектору цільових стержнях) і на третій закладці (по вказаних цільових стержнях)).

Після заповнення списку для створення СА потрібно виконати команду «Створити стержневий аналог» (рис. 6,е).

Рис.6. Створення стержневого аналога вручну

Рис.6. Створення стержневого аналога вручну: a) цільовий стержень; б) вузли та елементи початкового перерізу; в) вузли та елементи кінцевого перерізу; г) вихідні об'єкти стержневого аналогу; д) команда «Отримати з відмічених»; е) команда «Створити стержневий аналог»

Тип перерізу цільового стержня та його розміри призначає користувач відповідно до геометричних параметрів вихідної складеної конструкції.

Примітка. Тип перерізу стержневих аналогів може бути довільним (має сенс призначати перерізи, доступні для конструювання). Цільовим стержням СА також можна призначити переріз довільного контуру та складу, створений за допомогою системи «Конструктор перерізів». А потім після розрахунку повернути у «Конструктор перерізів» отримані зусилля, наприклад, щоб зробити перевірочний розрахунок несучої здатності такого перерізу по нелінійній деформаційній моделі (НДМ).

У діалоговому вікні «Стержневі аналоги» на закладці «Створення стержневих аналогів по вектору» !2-вкладка.png можна виконати автоматизоване створення стержневих аналогів із наборів елементів зі створенням цільових стержнів по заданому вектору. (рис.7). Для цього необхідно:

  1. Відмітити на схемі набір (набори) пластин, які можуть бути представлені у виді стержневих аналогів.
  2. Налаштувати параметри генерації:
    • відмічені на схемі елементи можуть розділятися на декілька наборів КЕ. Розбивка на набори можлива по конструктивних блоках (КоБ) та/або по жорсткості. Установка прапорця «Групувати по конструктивним блокам» (рис. 7,1) дозволить розбити відмічені елементи на декілька наборів, якщо ці елементи належать різним конструктивним блокам (КоБ). Аналогічно, установка прапорця «Групувати по жорсткості» дозволить розбити відмічені елементи на декілька наборів, якщо ці набори елементів мають різну жорсткість.
    • координати вектору X, Y, Z визначають напрямок стержневого аналогу (рис.7,2). За умовчанням координати вектору (0, 0, 1) – такі стержні встановлюються на схемі вертикально, паралельно осі Z. Якщо стержні повинні бути розташовані паралельно до горизонтальних осей X або Y, то задаються координати вектору (1, 0, 0) або (0, 1, 0) відповідно. Для більш складних випадків (наприклад, коли складена конструкція знаходиться не в ортогональній площині) можна встановити прапорець «Указати вузли» та вказати на схемі два вузли, які визначать вектор і, надалі, напрямок цільового стержня.
  3. Натиснути кнопку «Додати» (рис. 7,3) та «Застосувати»» (рис. 7,4).

Після натискання кнопки «Застосувати» кожен набір вихідних елементів буде проаналізовано: перпендикулярно до зазначеного вектору будуть побудовані площини початкового та кінцевого перерізів, визначені вихідні вузли та елементи, що примикають до цих площин. Якщо вихідні елементи СА змодельовані з пластин, то можна додатково виконати розпізнавання форми та розмірів поперечних перерізів. Якщо всі етапи аналізу пройшли успішно, то на основі набору вихідних елементів генерується стержневий аналог: у моделі створюється новий цільовий стержень з атрибутами стержневого аналогу. Вузли стержня розташовуються в геометричних центрах початкового та кінцевого складених перерізів. Тип жорсткості створеного стержня призначається виходячи з розпізнаного складеного перерізу: відповідний тип підбирається серед типів жорсткостей, що існують у моделі, або генерується автоматично (рис. 7 б-в).


Рис.7. Створення стержневого аналогу автоматизованим способом

Рис.7. Створення стержневого аналогу автоматизованим способом

Переріз цільового стержня СА в залежності від форми складеного перерізу набору вихідних об'єктів призначається тавровим, тавровим несиметричним, двотавровим, хрестовим, кутовим або прямокутним (брус). Розміри перерізу визначаються по розмірах ширини смуги (смуг) відповідного набору елементів-пластин та товщини пластин (рис.8).

Рис.8. Створення стержневого аналогу автоматизованим способом із наборів-елементів пластин з розпізнаванням перерізів

Рис.8. Створення стержневого аналогу автоматизованим способом із наборів-елементів пластин з розпізнаванням перерізів (тавр, несиметричний тавр, двотавр, хрест, куточок, прямокутник)

У діалоговому вікні «Стержневі аналоги» на закладці «Створення стержневих аналогів по цільових стержнях» 3-вкладка.png (рис. 9) можна виконати автоматизоване створення стрижневих аналогів з вихідних елементів по цільових стрижнях. При цьому можливе розпізнавання форми складених перерізів елементів-пластин (виконується при встановленому прапорці «Розпізнавати форму поперечного перерізу з елементів-пластин»).


Рис.9. Створення стержневих аналогів по цільових стержнях

Рис.9. Створення стержневих аналогів по цільових стержнях

Щоб створити стержневий аналог (один або декілька), вказаним способом спочатку потрібно побудувати цільовий стержень (один або декілька)).

Після побудови стержнів потрібно заповнити вікно редагування номерами стержнів, які вибрані в якості цільових (рис.9, а).

Далі слід відмітити на схемі елементи, серед яких повинні опинитися такі, які надалі стануть утворюючими для стержневих аналогів (вихідні елементи) (рис.9, б). Нагадаємо, що це елементи, які примикають до площин початкового і кінцевого перерізів цільового стержня з потрібного боку (усередину стержня), і вузли, що лежать у площині цих перерізів.

Далі потрібно натиснути кнопку «Застосувати».

Матеріал цільовим стрижням СА призначає користувач залежно від розв'язуваних задач конструювання. Для цільових стержнів СА можна призначати задане армування.

5.2. Редагування стержневих аналогів

Склад вихідних вузлів та елементів можуть бути змінені вручну для кожного стержневого аналогу окремо. Стержневі аналоги можуть бути видалені шляхом вказівки номеру цільового елементу та вибору кількох стержневих аналогів у списку (рис. 10). При видаленні стержневого аналогу відбувається видалення самого об'єкту-групи, при цьому вузли та елементи, що утворюють стержневий аналог, залишаться в моделі, їх можна буде видалити за потребою.

Рис. 10. Видалення стержневого аналогу

Рис. 10. Видалення стержневого аналогу

Інші властивості цільового та вихідних кінцевих елементів стержневих аналогів редагуються таким же способом, як і для інших елементів моделі.

Примітка.Слід враховувати, що стержневий аналог як об'єкт, що є групою взаємозалежних елементів і вузлів, здатний існувати в моделі доти, поки існують елементи, що його утворюють, і вузли, а також дотримуються вихідні обмеження та передумови, що визначають саму сутність стержневого аналогу. Тому операції редагування скінченно-елементної моделі, які спричинили видалення елементів, що входять у стержневий аналог та вузлів або порушення інших обмежень та передумов, призводить до руйнування стержневих аналогів як об'єктів-груп.
Передбачається, що для комфортнішої роботи зі стержневими аналогами їх створення відбуватиметься на пізніх етапах моделювання, коли значних змін у топології моделі вже не передбачається. В іншому випадку слід використовувати автоматизоване створення стержневих аналогів для прискорення роботи.

5.3. Коректність моделі при використанні стержневих аналогів

Незважаючи на особливості обчислення внутрішніх зусиль, цільові елементи стержневих аналогів є частиною моделі та існують у ній паралельно з вихідними елементами аналізованих складених конструкцій. Передбачається, що стержневі аналоги будуть додатковим інструментом для аналізу та проектування, а цільові елементи стержневих аналогів будуть грати роль ще одного представлення складених конструкцій або їх фрагментів у моделі. Отже, необхідно подбати про коректність моделі під час використання стержневих аналогів. Щодо цільових елементів стержневих аналогів діють ті ж правила, що і для звичайних елементів моделі: неприпустимість геометричної змінності, участь у загальній жорсткості моделі пропорційно жорсткості елементу, участь у зборі мас динамічних навантажень, якщо це було вказано, і т.д. Тому, щоб цільові елементи стержневих аналогів не впливали на поведінку моделі, їх не слід робити елементами, що сприймають або передають навантаження на вихідні елементи моделі. Найпростіший спосіб досягти такого ефекту - це зберігати вузли цільових елементів не пов'язаними з вузлами вихідних елементів моделі.

Встановлений прапорець «Не зшивати вузли стержневих аналогів» у діалоговому вікні «Упаковка» дозволяє уникнути об'єднання вузлів цільових елементів стержневих аналогів із вузлами інших елементів розрахункової схеми (рис.11).

Рис.11. Діалогове вікно «Упаковка»

Рис.11. Діалогове вікно «Упаковка»

Для перевірки коректності моделі у разі використання стержневих аналогів виконується діагностика моделі перед розрахунком. Відповідні діагностичні повідомлення покликані допомогти користувачеві виявити потенційні проблеми та самостійно прийняти рішення щодо способу їх усунення.

5.4. Розрахунок стержневих аналогів

Розрахунок стержневих аналогів відбувається під час повного розрахунку моделі на фінальному його етапі. Результатом розрахунку стержневих аналогів є внутрішні зусилля у розрахункових перерізах їх цільових елементів, обчислені по всіх завантаженнях. Ці внутрішні зусилля слід сприймати як додаткове дискретне стержневе представлення силових факторів, що виникають у вихідних складених перерізах, а не власні зусилля у цільових елементах. З цієї дискретності випливає, що отримані внутрішні зусилля не слід інтерполювати по довжині цільового стержня, вони є справедливими лише в точках початкового і кінцевого розрахункових перерізів. Це слід враховувати при перегляді результатів розрахунку у вигляді епюр, або використовувати представлення зусиль у вигляді мозаїк та/або у табличному виді.

Обчислені внутрішні зусилля в перерізах цільового елемента стержневого аналога використовуються далі для визначення зусиль по РСН та РСЗ та в роботі конструюючих систем (підбір армування та/або перевірку заданого армування в залізобетонних та сталезалізобетонних елементах, перевірку та підбір поперечних перерізів сталевих елементів) (рис.12).

Рис. 12. Підбір армування в цільовому стержні СА

Рис. 12. Підбір армування в цільовому стержні СА

Обчислення внутрішніх зусиль в елементах по алгоритму стержневих аналогів можливе, якщо задоволені вищевказані вимоги до цільового стержня та вихідних об'єктів, інакше цільовий елемент стержневого аналогу розглядатиметься як звичайний елемент моделі.

Список літератури

1. Конструкции зданий и сооружений. Бетонные и железобетонные конструкции. Основные положения: ДБН В.2.6-98:2009. – [Введен в действие с 01-06-2011]. – К., 2011. – 71 с. – (Свод правил). (Приложение Б.)

Помилка в тексті? Виділіть її та натисніть Ctrl + Enter, щоб повідомити нам.

Марина Ромашкіна

Кандидат технічних наук - спеціальність «Будівельні конструкції, будівлі та споруди».
Супровід програмного комплексу LIRA-FEM.

Інші публікації цього автора

Андрій Томашевський

Інженер-програміст компанії «ЛІРА САПР».
Розробка програмних комплексів.

Інші публікації цього автора


Коментарі

Написати