Розрахунок деформацій інших типів ґрунтів можна знайти за посиланням.

Осадка насипних ґрунтів визначається за формулою:

Ф-ла 6.1.png

(1)

де η – коефіцієнт, який дорівнює 0.4; q – вміст рослинних залишків; h – товщина шару насипного ґрунту нижче підошви фундаменту, що містить органічні включення; γck – питома вага сухого ґрунту (скелету), що розраховується за формулою:

Ф-ла 6.2.png

(2)

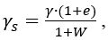
де γ – питома вага ґрунту; W – природна вологість;

γs - питома вага частинок ґрунту, який розраховується за формулою:

Ф-ла 6.3.png

(3)

де е – коефіцієнт пористості.

Розрахунок насипних ґрунтів відповідає розділу 9.6 норм ДБН В.2.1-10-2009 «Основи та фундаменти споруд».

Приклад розрахунку деформації основи при наявності насипних ґрунтів

Необхідно визначити осадку стовпчастого фундаменту. Геометричні розміри підошви 2х3 метри, глибина закладення – 1.5 метри. Середній тиск під підошвою фундаменту становить Р = 80 т/м2.

Задані ґрунтові умови показані на рисунках 1, 2, 3.

Рис. 1. Характеристики ґрунтових умов

Рис. 1. Характеристики ґрунтових умов

Рис.2. Розрахункова схема для визначення деформацій основи

Рис.2. Розрахункова схема для визначення деформацій основи

Рис.2. Розрахункова схема для визначення деформацій основи

Рис.3. Завдання навантаження від фундаменту

Рис.3. Завдання навантаження від фундаменту

Для розрахунку деформацій насипного ґрунту – необхідно призначити відповідну ознаку. Для цього, у колонці «Вода –Лес – Насип – Органо-мінеральний» (на рис. 4 виділена червоним кольором), навпроти насипного шару потрібно поставити букву «М» (від англ. man-made soil – насипний ґрунт).

Також, у колонці «Вміст рослинних залишків, q» потрібно ввести відповідне значення.

Рис. 4. Характеристики насипних ґрунтів

Рис. 4. Характеристики насипних ґрунтів

Розрахунок деформацій основи з урахуванням специфічних властивостей ґрунтів можливий тільки при розрахунку за нормами ДБН, тому вибираємо для розрахунку відповідні норми. Для цього в меню потрібно натиснути на вкладку «Пружна основа» і перейти у «Параметри розрахунку». У діалоговому вікні «Параметри розрахунку» потрібно вибрати норми ДБН В.2.1-10-2009 (рис. 5).

Рис. 5. Завдання нормативного документу

Рис. 5. Завдання нормативного документу

Порахуємо деформації насипного ґрунту відповідно до формули 1. Для цього на початку визначимо значення питомої ваги сухого ґрунту (скелету) та питомої ваги частинок ґрунту (значення γ, W, e беремо з таблиці «Характеристики ґрунтів», рис.1):

Ф-ла 6.4.png

(4)

Ф-ла 6.5.png

(5)

Ф-ла 6.6.png

(6)

При розрахунку даної задачі без урахування впливу насипного ґрунту (рис. 6, а) можна побачити, що деформації рівні S =0.086 м, а коефіцієнт постелі С1 = 935.244 т/м2.

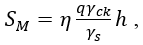
Виходячи з цих даних, ми можемо порахувати повні деформації основи, з урахуванням особливостей насипних ґрунтів:

Ф-ла 6.7.png

(7)

Отже, коефіцієнт постелі С1 буде розрахований за формулою (метод 2, модель Вінклера):

Ф-ла 6.8.png

(8)

Рис. 6. Порівняння результатів розрахунку основи:
а) без урахування насипного ґрунту;
б) з урахуванням особливостей насипного ґрунту.

Рис. 6. Порівняння результатів розрахунку основи: а) без урахування насипного ґрунту

Рис. 6. Порівняння результатів розрахунку основи: б) з урахуванням особливостей насипного ґрунту

а)

б)

Приклад визначення деформацій насипних ґрунтів


Помилка в тексті? Виділіть її та натисніть Ctrl + Enter, щоб повідомити нам.

Ольга Башинська

Кандидат технічних наук - спеціальність «Будівельні конструкції, будівлі та споруди».
Інженер-програміст компанії «ЛІРА САПР».
Розробка програмних комплексів.

Інші публікації цього автора


Коментарі

Написати