Неможливо правильно змоделювати роботу споруди без урахування її взаємодії з ґрунтом. Така система може бути піддана статичним або динамічним впливам. У статиці безмежна область ґрунту може бути відкинута досить далеко, тому що переміщення та напруження зменшуються зі збільшенням відстані від споруди. Однак таку процедуру не можна використовувати для динамічних задач. На межі ґрунту хвилі будуть відображатися, у той час як вони повинні поширюватися в нескінченність. Цей ефект відбиття впливатиме на НДС споруди. Будівля, а також обмежена область ґрунту, можуть бути змодельовані скінченними елементами. Найбільш складною частиною аналізу взаємодії ґрунту та конструкції є моделювання відкинутої безмежної області ґрунту. У динамічній задачі важливою умовою є безперешкодне проходження хвилі у відкинуту область ґрунту.

Існують два основних методи динамічного аналізу взаємодії ґрунту та конструкції. Прямий метод (рис. 1) – найпростіший спосіб для аналізу. Щоб врахувати нескінченність з достатньою точністю, необмежену область відсікають досить далеко від структури і накладають наближені граничні умови. Це призводить до збільшення кількості ступенів свободи, особливо у тривимірній задачі. Метод підсистем (рис. 2) є більш точним порівняно з прямим методом, тому модельована область може бути меншою, ніж для прямого методу. У цьому методі, як правило, точні граничні умови виражаються в матриці динамічної жорсткості 1_0.png.

Рисунок 1. Прямой метод динамического анализа.png

Рисунок 1. Прямий метод динамічного аналізу

Рисунок 2. Метод подсистем.png

Рисунок 2. Метод підсистем

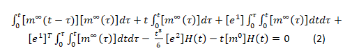
З'єднання між двома підсистемами забезпечується вектором взаємодії

1.png

де 1_1.png - матриця відгуку прискорень, яка визначається як

2.png

де 2_1.png матриця відгуку прискорень у перетворених координатах, [e1 ],[e2 ] і [m0] матриці коефіцієнтів, H(t) - функція Хевісайду.


В ПК ЛІРА-САПР реалізовані елементи, що моделюють безмежний ґрунт (CЕ-67). Для демонстрації розв'яжемо кілька прикладів (рис. 3) з різними умовами закріплення на межі ґрунтового масиву:

- на межі ґрунтового масиву накладені в'язі (рис 4.);

- в'язі відсутні (рис 5.);

- задані CЕ-67 (рис 6.);

Рисунок 3. Тестовый пример.png

Рисунок 3. Тестовий приклад

Рисунок 4. Задача с граничными условиями.png

Рисунок 4. Розрахункова схема 1 - на межі ґрунтового масиву накладені в'язі

Відео 1 відповідає накладенню в'язів на межах виділеної частини ґрунтового масиву. Динамічні впливи - вимушені коливання у центральні точки верхньої частини масиву тривалістю 5 сек. В цьому випадку хвилі відбиваються від закріплених меж і відбуваються нескінченні за часом коливання обмеженої частини ґрунту. Кінетична енергія не затухає.

Рисунок 5. Задача без граничных условий.png

Рисунок 5. Розрахункова схема 2 - на межі ґрунтового масиву в'язі відсутні

У відео 2 так само відбувається нескінченне у часі коливання ґрунту (можна порівняти з коливаннями «студня»)

Рисунок 6. Задача с КЭ-67.png

Рисунок 6. Розрахункова схема 3 - на межі ґрунтового масиву задані СЕ-67

У відео 3 представлена картина коливань у випадку, коли на межах введено розроблені в ПК ЛІРА-САПР прозорі граничні елементи. У цьому випадку хвилі йдуть у нескінченний напівпростір ґрунтового масиву та загасають. Кінетична енергія згасає.

Реалізований в ПК ЛІРА-САПР CЕ-67 дозволяє моделювати узагальнений інтерфейс для вирішення динамічної задачі «споруда-ґрунт». CЕ дозволяє досягти ефекту не відбиття хвилі або «нескінченного ґрунту».

Помилка в тексті? Виділіть її та натисніть Ctrl + Enter, щоб повідомити нам.

Дмитро Городецький

Кандидат технічних наук - спеціальність «САПР».
Керівник проєкту «МСЕ-процесор LIRA-FEM».
Керівник проєкту МОНОМАХ-САПР.

Інші публікації цього автора

Анатолій Пікуль

Інженер-аналітик компанії «ЛІРА САПР».
Доцент кафедри металевих і дерев'яних конструкцій Київського національного університету будівництва і архітектури.

Інші публікації цього автора

Богдан Писаревський

Доктор філософії за спеціальністю Будівництво та цивільна інженерія.
Інженер-програміст компанії «ЛІРА САПР».
Розробка програмних комплексів.

Інші публікації цього автора


Коментарі

Написати