Objective

To analyse a beam fixed at both ends subjected to in-plane loading without considering shear deformation. The maximum transverse deflection and bending moments are verified.

Reference

Pysarenko G.S., Yakovlev A.P., Matveev V.V. Handbook of Strength of Materials. Kyiv: Naukova Dumka, 1988. 

Problem statement

To determine the maximum transverse deflection w and the bending moments M.

Design model

A beam fixed at both ends is subjected to a uniformly distributed load q.

Initial geometry of analytical model

Initial geometry of analytical model

Initial geometry of FE model

Initial geometry of FE model

Geometry

Beam length L = 3 m.
Moment of inertia I = 2,44 * 10-6 m4.
Cross-sectional area F = 14,2 * 10-4 m2.

Material properties

Modulus of elasticity Е = 2,1 * 1011 Pa.
Poisson's ratio ν = 0,3.

Loads

Uniformly distributed load q= 10 kN/m.


Output data

Diagram of bending moment, M (kN*m)

Diagram of bending moment, M (kN*m)

Transverse displacements, w (mm)

Transverse displacements, w (mm)

Analytical solution

In the analytical solution, the mid-span deflection of the beam is calculated using the following formula ("Handbook of Strength of Materials", p. 352):

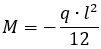
The bending moments at the fixed ends are calculated using the following formula:

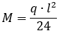
Bending moment at the beam centre:

Comparison of calculation results

Parameter Analytical solution LIRA-FEM Error, %
Transverse displacement at midspan of the beam, mm -4,32 -4,32 0
Bending moment at midspan of the beam, kN*m 3,75 3,75 0
Bending moment at the beam support, kN*m -7,5 -7,5 0

Download verification test


If you find a mistake and want to inform us about it, select the mistake, then hold down the CTRL key and click ENTER.

  • 145


Comments

Write