Objective

Combined loading (transverse load and concentrated load) acting in a single plane, neglecting transverse shear deformation. Displacements and internal forces are verified.

Reference

Pisarenko G.S., Yakovlev A.P., Matveev V.V. Handbook of Strength of Materials. Kyiv: Naukova Dumka, 1988.

Problem statement

To determine displacements w, rotation angles θ, shear forces Q and bending moments M.

Design model

A simply supported beam is subjected to a concentrated load P and a uniformly distributed load q.

Initial geometry of analytical model

Initial geometry of analytical model

Initial geometry of FE model

Initial geometry of FE model

Geometry

Beam length L = 3 m;
Moment of inertia I = 2,44 * 10-6 m4;
Cross-sectional area F = 14,2 * 10-4 m2;
Geometric dimensions a = b = 1,5 m.

Material properties

Modulus of elasticity Е = 2,0 * 1011 Pa.
Poisson's ratio ν = 0,3.

Loads

Load q = 10 kN/m.
Concentrated load F = -5 kN.


Output data

Transverse displacements, w (mm)

Rotation angles, θ (rad*1000)

Transverse displacements, w (mm)
Rotation angles, θ (rad*1000)

Diagram of bending moment, M (kN*m)

Diagram of shear force, Q (kN)

Diagram of bending moment, M (kN*m)
Diagram of shear force, Q (kN)

Analytical solution

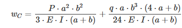
In the analytical solution, the deflection at point C is calculated using the following formula:

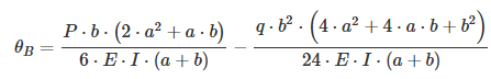
The rotation angle at point B is calculated using the following formula:

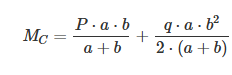
The bending moment at point C is calculated using the following formula:

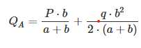
The shear force at point A is calculated using the following formula:

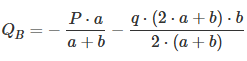
The shear force at point B is calculated using the following formula:

Comparison of calculation results

Parameter Analytical solution LIRA-FEM Error, %
Deflection at point C, mm -5,043 -5,043 0
Rotation angle at point B, rad*1000 -7,204 -7,204 0
Bending moment at point C, kN 1,875 1,875 0
Shear force at point A, kN 1,25 1,25 0
Shear force at point B, kN -8,75 -8,75 0

Download verification test


If you find a mistake and want to inform us about it, select the mistake, then hold down the CTRL key and click ENTER.

  • 151


Comments

Write