Objective

To determine the stress state in the elements of a spatial pin-jointed bar system subjected to a concentrated load.

Reference

F. P. Beer, E. R. Johnston Jr., D. F. Mazurek, P. J. Cornwell, E. R. Eisenberg, Vector Mechanics for Engineers, Statics and Dynamics, New York, McGraw-Hill Co., 1962, p. 47.

Problem statement

To determine the axial forces N in each bar.

Design model

Three bars of a spatial system are connected at a common joint (node 4) and are pin-supported at the opposite joints (nodes 1, 2 and 3).

Initial geometry of analytical model

Initial geometry of FE model

Initial geometry of analytical model
Initial geometry of FE model

Geometry

Cross-sectional area of bars ААС = 1,0 m2

Material properties

Modulus of elasticity Е = 3,0 * 107 Pa.

Loads

Vertical concentrated load: F = 0,05 kN.


Output data

Design and deformed shape of a truss

Diagram of axial forces, N (N)

Design and deformed shape of a truss
Diagram of axial forces, N (N)

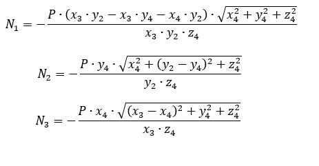
Analytical solution

In the analytical solution, the axial forces N in the elements of the spatial pin-jointed bar system under a vertical concentrated load are obtained from the following formulas:

Comparison of calculation results

Values of axial forces, N (N)

Bar(nodes) Analytical solution LIRA-FEM Error, %
1 (1-4) 10,39 10,4 0,1
2 (2-4) 22,91 22,9 0,04
3 (3-4) 31,18 31,2 0,06

Download verification test


If you find a mistake and want to inform us about it, select the mistake, then hold down the CTRL key and click ENTER.

  • 144


Comments

Write