Objective

To analyse bending in the plane of loading under the concentrated load, neglecting transverse shear deformations. The maximum values of transverse displacement w, rotation angle θ, and bending moment M are verified.

Reference

Pisarenko G.S., Yakovlev A.P., Matveev V.V., Handbook of Strength of Materials. Kyiv: Naukova Dumka, 1988, p. 263.

Problem statement

To determine the maximum values of the transverse displacement w, rotation angle θ, and bending moment M.

Design model

A cantilever beam is subjected to a concentrated load P applied at the free end.

Initial geometry of analytical model

Initial geometry of analytical model

Initial geometry of FE model

Initial geometry of FE model

Geometry

Length L=3 м.
Moment of inertia of the cross-section I = 2,44 * 10-6 m4;

Material properties

Modulus of elasticity Е = 2,0 * 1011 Pa.
Poisson's ratio ν = 0,3

Loads

Vertical concentrated load: Р = 5 kN.


Output data

Diagram of bending moment M

Diagram of bending moment, M

Mosaic plot of vertical displacements, w (mm)

Vertical displacements, w (mm)

Rotation angles θ (rad*1000)

Rotation angles, θ (rad*1000)

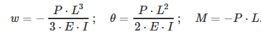
Analytical solution

In the analytical solution, the maximum transverse displacement w, rotation θ, and bending moment M are obtained from the following formulas:

Comparison of calculation results

Parameter Analytical solution LIRA-FEM Error, %
Vertical displacement w, mm -92,21 -92,21 0
Rotation angle θ, rad 0,04611 46,1 * 10-3 0
Bending moment M, kN*m -15,0 -15,0 0

Download verification test


If you find a mistake and want to inform us about it, select the mistake, then hold down the CTRL key and click ENTER.

  • 166


Comments

Write