Ціль:

Перевірка точності обчислень геометричних характеристик суцільного поперечного перерізу у формі трапеції із гострим кутом.

Література:

А.А. Уманский, Справочник проектировщика расчетно-теоретический, 1973, книга 1.

Формулювання задачі:

Для суцільного поперечного перерізу у формі трапеції із гострим кутом перевірити точність обчислення геометричних характеристик.

Геометрія:

a = 50 см; c = 90 см; α = 45°.

Aналітична схема

Модель в Конструкторі перерізів

Aналітична схема
Модель в Конструкторі перерізів

Аналітичне рішення:

Wy = Imax / y Wz = Imin / z

Порівняння результатів розрахунку:

Параметр Теорія LIRA-FEM Похибка, %
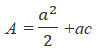
Площа, A см2 5750 5750 0
Поворот головної осі перерізу Y1 відносно осі x поточної системи координат, φ ° -84,15 -84,21 0,0713
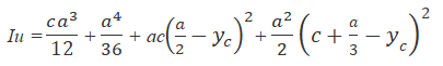
Момент інерції відносно центральної осі U, Iu см4 1179045,894 1179045,894 0
Момент інерції відносно центральної осі V, Iv см4 6931220 6931219,807 ≈0
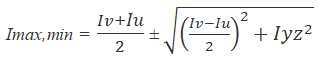
Крутильний момент інерції, It см4 3277083,333 3290850,134 0,4183
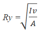
Радіус інерції відносно головної осі Y1, Ry мм 347,193 348,69 0,4293
Радіус інерції відносно головної осі Z1, Rz мм 143,196 139,52 2,5671
Момент опору відносно головної осі Y1, Wy см3 83704,7414 83706,983 0,0027
Момент опору відносно головної осі Z1, Wz см3 37483,2552 37479,404 0,0103
Периметр, P мм 3507,107 3507,11 0,0001

Завантажити приклад


Помилка в тексті? Виділіть її та натисніть Ctrl + Enter, щоб повідомити нам.



Коментарі

Написати