Перевірка точності обчислень геометричних характеристик суцільного еліптичного поперечного перерізу.
А.А. Уманский, Справочник проектировщика расчетно-теоретический, 1973, книга 1.
Для суцільного еліптичного поперечного перерізу перевірити точність обчислення геометричних характеристик.
b = 30 см; h = 50 см.
|
Aналітична схема
|
Модель в Конструкторі перерізів
|
Крок тріангуляційної сітки 10 мм.
| A = πhb | |
|
|
|
|
| φ = 0 |
|
|
|
|
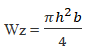
| Ry = h/2 | Rz = b/2 |
|
|
|
|
| Y = h/4 | Z = b/4 |
|
Pint = 0 |
| X0 = b | Y0 = h | yb = zb = 0 |
|
|
|
| Параметр | Теорія | LIRA-FEM | Похибка, % |
| Площа, A см2 | 4712,389 | 4711,92 | 0,01 |
| Зсувна площа відносно головної осі Y1, Ay см2 | 3724,143 | 3792,27 | 1,7965 |
| Зсувна площа відносно головної осі Z1, Az см2 | 4147,17 | 4149,29 | 0,0511 |
| Поворот головної осі перерізу Y1 відносно осі x поточної системи координат, φ ° | 0 | 0 | 0 |
| Момент інерції відносно центральної осі U, Iu см4 | 2945243,113 | 2944651,768 | 0,0201 |
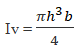
| Момент інерції відносно центральної осі V, Iv см4 | 1060287,522 | 1060074,637 | 0,0201 |
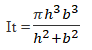
| Крутильний момент інерції, It см4 | 3118492,708 | 3117988,306 | 0,0162 |
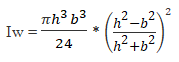
| Секторіальний момент інерції, Iw см6 | 97835065,337 | 97791264,635 | 0,0448 |
| Радіус інерції відносно головної осі Y1, Ry мм | 250 | 249,99 | 0,004 |
| Радіус інерції відносно головної осі Z1, Rz мм | 150 | 149,99 | 0,0067 |
| Максимальний момент опору відносно головної осі Y1, maxWy см3 | 58904,862 | 58893,035 | 0,0201 |
| Мінімальний момент опору відносно головної осі Y1, minWy см3 | 58904,862 | 58893,035 | 0,0201 |
| Максимальний момент опору відносно головної осі Z1, maxWz см3 | 35342,917 | 35335,821 | 0,0201 |
| Мінімальний момент опору відносно головної осі Z1, minWz см3 | 35342,917 | 35335,821 | 0,0201 |
| Пластичний момент опору відносно осі Y1pl, Wply см3 | 100000 | 99984,941 | 0,0151 |
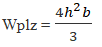
| Пластичний момент опору відносно осі Z1pl, Wplz см3 | 60000 | 59990,965 | 0,0151 |
| Максимальний момент інерції, maxI см4 | 2945243,113 | 2944651,768 | 0,0201 |
| Мінімальний момент інерції, minI см4 | 1060287,521 | 1060074,637 | 0,0201 |
| Максимальний радіус інерції, maxR см | 250 | 249,99 | 0,004 |
| Мінімальний радіус інерції, minR см | 150 | 149,99 | 0,0067 |
| Ядрова відстань у від'ємному напрямку головної осі Y1, Y- мм | 75 | 74,99 | 0,0133 |
| Ядрова відстань в додатному напрямку головної осі Y1, Y+ мм | 75 | 74,99 | 0,0133 |
| Ядрова відстань у від'ємному напрямку головної осі Z1, Z- мм | 125 | 124,99 | 0,008 |
| Ядрова відстань в додатному напрямку головної осі Z1, Z+ мм | 125 | 124,99 | 0,008 |
| Координата x центру тяжіння в поточній системі координат, X0 мм | 300 | 300 | 0 |
| Координата y центру тяжіння в поточній системі координат, Y0 мм | 500 | 500 | 0 |
| Координата центру крутіння по осі Y, yb см | 0 | 0 | 0 |
| Координата центру крутіння по осі Z, zb см | 0 | 0 | 0 |
| Периметр, P мм | 2551,8 | 2552,64 | 0,0329 |
| Периметр внутрішніх контурів, Pint мм | 0 | 0 | 0 |
| Периметр зовнішніх контурів, Pext мм | 2551,8 | 2552,64 | 0,0329 |
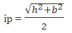
| Полярний момент інерції, Ip см4 | 4005530,633 | 4004726,405 | 0,02 |
| Полярний радіус інерції, ip см | 29,155 | 29,153 | 0,0069 |
| Полярний момент опору, Wp см3 | 80110,8 | 80094,528 | 0,0203 |
Помилка в тексті? Виділіть її та натисніть Ctrl + Enter, щоб повідомити нам.
Коментарі