Ціль:

Визначити згинальні моменти та напруження у прямокутній пластині, що защемлена по контуру при зміні температури по товщині пластини за лінійним законом.

Література:

С.П. Тимошенко, С.Войновский-Кригер, Пластинки и оболочки. — М.: Наука, 1963.

Формулювання задачі:

Розглядається защемлена по контуру прямокутна пластина постійної товщини. Температура в площинах, паралельних серединній поверхні пластини постійна, а по товщині пластини змінюється за лінійним законом.

Визначити згинальні моменти Mx, My та максимальне температурне напруження σ.

Опис розрахункової схеми:

Розрахункова схема - система загального вигляду.

Початкова геометрія

Початкова геометрія

Геометрія:

Ширина пластини ax = 1,5 м;
Довжина пластини ay = 2,5 м;
Товщина пластини h = 0,02 м.

Характеристика матеріалу:

Модуль пружності Е = 2*108 кПа;
Коефіцієнт Пуассона ν = 0,2.

Граничні умови:

Жорстке закріплення вузлів по контуру.

Навантаження:

Коефіцієнт лінійного температурного розширення матеріалу α = 1,5*10-5 1/C0;
Різниця температур між верхньою та нижньою поверхнями пластини ΔТ = 20 C0.

Результати розрахунку:

Розрахункова схема

Розрахункова схема

Мозаїка напружень по Mx = My, кН*м/м

Мозаїка напружень по Mx= My, кН*м/м

Значення напружень на верхній поверхні пластини σ, кН/м2

Значення напружень на верхній поверхні пластини σ, кН/м2

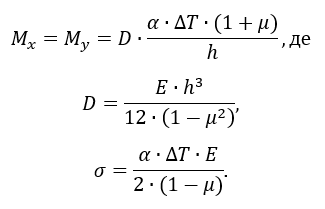
Аналітичне рішення:

Формули для згинальних моментів Mx, My та максимального температурного напруження σ у пластині при зміні температури по товщині пластини за лінійним законом мають наступний вигляд:

Порівняння результатів розрахунку:

Параметр Теорія LIRA-FEM Похибка, %
Згинальні моменти Мх = Му, кН*м/м 2,857 2,857 0
Найбільші температурні напруження, кПа 42857 42857 0

Завантажити приклад


Помилка в тексті? Виділіть її та натисніть Ctrl + Enter, щоб повідомити нам.



Коментарі

Написати