Ціль:

Поздовжньо-поперечний згин в одній площині.

Література:

Розрахунки на міцність у машинобудуванні / Пономарьов С.Д., Бідерман В.Л., Ліхарєв К.К. та ін. 1956 р.

Формулювання задачі:

Необхідно визначити вертикальні переміщення w (x) і згинальні моменти M (x) при стиску і розтягу.

Опис розрахункової схеми:

Балка на двох опорах, що знаходиться в умовах чистого згину, додатково навантажується поздовжньою силою.

Початкова геометрія аналітичної схеми

Початкова геометрія аналітичної схеми

Початкова геометрія СЕ моделі

Початкова геометрія СЕ моделі

Геометрія:

Довжина балки l = 1,0 м;
Площа поперечного перерізу F1 = 1,0 * 10-2 м2

Характеристика матеріалу:

Модуль пружності Е= 2,0 * 1010 Па;
Коефіцієнт Пуассона μ = 0,3;
Момент інерції поперечного перерізу I = 8,333 * 10-6 м4

Навантаження:

Значення зосередженої сили N = ±200 кН Значення згинального моменту M = 10 кН * м


Результати розрахунку:

Значення переміщення w при поздовжній силі, що стискає (мм)

Значення переміщення w при поздовжній силі, що стискає (мм)

Значення згинального моменту M при поздовжній силі, що стискає (кН*м)

Значення згинального моменту M при поздовжній силі, що стискає (кН*м)

Значення переміщення w при подовжній силі, що розтягує (мм)

Значення переміщення w при подовжній силі, що розтягує (мм)

Значення згинального моменту M при поздовжній силі, що розтягує (кН*м)

Значення згинального моменту M при поздовжній силі, що розтягує (кН*м)

Аналітичне рішення:

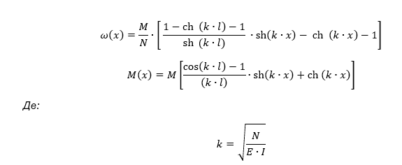
При аналітичному рішенні рівняння пружної лінії w (x) і рівняння згинального моменту M (x) при поздовжній силі, що стискає, визначаються за формулами:

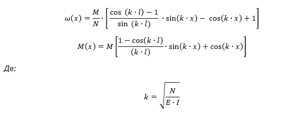
При аналітичному рішенні рівняння пружної лінії w (x) і рівняння згинального моменту M (x) при поздовжній силі, що розтягує, визначаються за формулами:

Порівняння результатів розрахунку:

Параметр Стискаюча поздовжня сила Розтягуюча поздовжня сила
Аналітичне рішення SCAD Похибка, % Теорія LIRA-FEM Похибка, %
Поперечні переміщення w(0,5*l), мм -19,959 -19,96 0 -11,986 -11,99 0
Згинальний момент M(0,5*l), кН*м 13,992 13,992 0 7,603 7,603 0

Завантажити приклад

Помилка в тексті? Виділіть її та натисніть Ctrl + Enter, щоб повідомити нам.



Коментарі

Написати