Визначити напружено-деформований стан циліндричного резервуару постійної товщини під дією тиску рідини.
С.П. Тимошенко, С. Войновский-Кригер. Пластинки и оболочки. М.: Наука, 1963.
Визначити максимальне радіальне переміщення w стінки резервуара, а також згинальний момент М0, що діє у жорсткому закріпленні.
Циліндричний резервуар, затиснутий у днищі, під впливом тиску рідини р, що пропорційно змінюється з висотою.
|
а |
б |
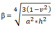
Радіус R(а) = 1 м;
Товщина h = 0,005 м;
Висота H(d) = 5 м.
Модуль пружності Е = 2 * 108 кПа;
Коефіцієнт Пуассона ν = 0,3.
В’язі за всіма ступенями вільності по нижній грані циліндру.
Тиск, розподілений пропорційно по висоті, γ = 10000 кН/м3 (нижня ордината епюри тиску q = γH = 50000 кН/м2).
Задача розв’язується у просторовій постановці (ознака схеми 5).
Для побудови схеми використані СЕ 44 – універсальний чотирикутний СЕ оболонки.
Сітка скінченних елементів має 200 елементів по висоті циліндру і 64 по довжині окружності.
Для вузлів схеми призначена місцева система координат (місцеві осі вузлів Х1 напрямлені від центра циліндру).
Кількість вузлів: 12864. Кількість елементів: 12800.



Без додаткових вузлів на сторонах:
| Параметр | Аналітичне рішення | LIRA-FEM | Похибка, % |
| Максимальний прогин w, м | 0,05043 | 0,05004 | 0,7733 |
| Згинальний момент в закріпленні M0, кН*м | 74,82 | 74,442 | 0,5052 |
|
Примітка: Зусилля М0 визначено як відношення вузлової реакції до відстані між вузлами: М0 = 7,305 / 0,09813 = 74,442 кН*м |
|||
З використанням додаткових вузлів на сторонах:
| Параметр | Аналітичне рішення | LIRA-FEM | Похибка, % |
| Максимальний прогин w, м | 0,05043 | 0,05044 | 0,0198 |
| Згинальний момент в закріпленні M0, кН*м | 74,82 | 75,9696 | 1,5132 |
|
Примітка: Зусилля М0 визначено як відношення вузлової реакції до відстані між вузлами: М0 = 7,4549 / 0,09813 = 75,9696 кН*м |
|||
Помилка в тексті? Виділіть її та натисніть Ctrl + Enter, щоб повідомити нам.
Коментарі