Зміст

  1. Основні формули та припущення
  2. Приклад розрахунку
    1. Формування вхідних даних
    2. Алгоритм розрахунку всередині програми
    3. Перегляд результатів розрахунку
  3. Імпорт із системи Ґрунт у ЛІРА САПР

1. Основні формули та припущення

У ЛІРА-САПР 2024 (система ҐРУНТ) реалізовано новий метод розрахунку коефіцієнта жорсткості пружної основи С1 (Метод 6), який дозволяє врахувати вплив динамічних коливань на пружні властивості ґрунту. В основі цього методу лежить модель Пастернака, згідно з якою коефіцієнт пружної основи С1 розраховується за формулою:

(1)

де Нс – глибина стисливої зони, μ0 – середнє значення коефіцієнта Пуассона, E0 – середнє значення модуля деформації ґрунту.

При розрахунку на динамічні коливання розглядаються три різновиди руху частинок ґрунту: поступальний рух по осі z, та два види коливань (відносно осі x, та осі у). Тому замість одного значення коефіцієнта пружної основи С1 розглядаються три значения (Cz, C1xx, C1yy) кожне з яких відображає роботу пружної основи у зазначеному напрямку від відповідного виду руху частинок. Тому формула 1 розписується наступним чином:

(2)

(3)

(4)

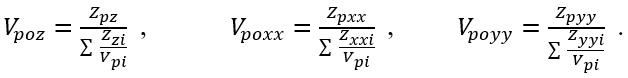
Де Zpz – це товща ґрунту, необхідна для аналізу роботи основи при поступальному русі частинок ґрунту, Zpxx, Zpyy – це товща ґрунту, необхідна для аналізу роботи основи при коливальному русі. Докладніше про нього розписано у Прикладі розрахунку, пункт 2.2.

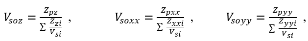
При розрахунку за Методом 6 коефіцієнт Пуассона μ визначається із відношення між швидкостями розповсюдження поперечних та поздовжніх динамічних хвиль і розраховується за формулами:

(5)

Де Vsoz, Vsoxx, Vsoyy – швидкість розповсюдження поперечних хвиль, Vpoz, Vpoxx, Vpoyy – швидкість розповсюдження поздовжніх хвиль.

Швидкості хвиль Vsoz, Vsoxx, Vsoyy, Vpoz, Vpoxx, Vpoyy для розрахунку коефіцієнтів пружної основи визначаються як середні арифметичні по навантаженню від усереднених швидкостей хвиль у кожній точці. Значення усереднених швидкостей хвиль у кожній точці навантаження розраховуються за формулами:

(6)

(7)

Де Vsi, Vpi – це експериментальні значення швидкостей розповсюдження поперечних та поздовжніх хвиль в елементарному шарі ґрунту, які задаються користувачем.

При розрахунку коефіцієнтів пружної основи C1Z, C1XX, C1YY із формул 2, 3, 4, – використовуються значення ефективних модулей пружності, які розраховуються за формулами:

(8)

(9)

(10)

Де Gz, Gxx, Gyy – значення ефективних модулей зсуву, що визначаються за формулами:

(11)

(12)

(13)

Де a – це коефіцієнт, що береться із таблиці Д.2 у документі [1]. Цей коефіцієнт залежить від розрахункового прискорення основи (у частках g), яке береться із вхідних даних (у прикладі вказано на малюнку 5).

(14)

(15)

(16)

Де ρz, ρxx, ρyy – середні питомі маси ґрунту, що знаходяться аналогічним чином, як і швидкості розповсюдження поперечних та поздовжніх хвиль, що використовуються при розрахунку коефіцієнтів Пуассона у формулах (5). Тобто значення ρz, ρxx, ρyy розраховуються як середні арифметичні по навантаженню від усереднених значень питомої ваги ρz, ρxx, ρyy у кожній точці, що були розраховані за формулами:

(17)

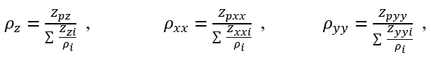
Де ρi – це значення питомої ваги i-го шару ґрунту, яке береться із таблиці "Характеристики ґрунтів".


2. Приклад розрахунку пружних властивостей основи при розрахунку будівель на сейсмічний вплив у ЛІРА-САПР 2024

2.1. Формування вхідних даних.

В якості прикладу розглянемо фундаментну плиту розміром 18.9х30.6 метрів, для якої необхідно знайти значення коефіцієнту пружної основи С1 з урахуванням дії сейсмічного впливу. Глибина залягання підошви фундаменту відносно рівня землі – 6 метрів.

Розрахункове прискорення основи – 0,487 g.

Ґрунтові умови наведені на рисунку 1:

Рис. 1. Ґрунтові умови

Рис. 1. Ґрунтові умови

Для виконання розрахунку за Методом 6 необхідно ввести експериментальні значення швидкостей розповсюдження пружних хвиль у шарах ґрунтової товщі на будівельному майданчику. Припустимо, що у нас є дві свердловини з експериментальними значеннями швидкостей розповсюдження хвиль у пружному середовищі, значення яких наведені у таблиці:

Таблиця 1. Швидкості розповсюдження хвиль у шарах ґрунтової товщі.

Н, м (глибина) Швидкість поперечних хвиль Vso (м/с) Швидкість поздовжніх хвиль Vpo (м/с)
Свердловина №1 Свердловина №2 Свердловина №1 Свердловина №2
0.7 182 220 300 360
3 250 310 411 470
7.2 553 615 930 995
21.5 736 790 1247 1010
30 862 920 1460 1070


2.1.1. Формування геологічних умов.

КРОК 1. Формування ґрунтових умов у діалозі “Свердловини”.

Рис. 2. Формування ІГЕ у діалозі “Свердловини”

Рис. 2. Формування ІГЕ у діалозі “Свердловини”

КРОК 2. Формування швидкостей розповсюдження хвиль.

Для того, щоб ввести в програму значення швидкостей розповсюдження хвиль у ґрунті, - в ЛІРА-САПР необхідно відкрити діалог “Таблиця швидкостей”, натиснувши на відповідну вкладку, що вказана на рисунку 3:

Рис. 3. Відкриття діалогу “Таблиця швидкостей”

Рис. 3. Відкриття діалогу "Таблиця швидкостей"

Формат введення вхідних даних у діалозі “Таблиця швидкостей” наступний:

Рис. 4. Формат введення даних у діалозі “Таблиця швидкостей”

Рис. 4. Формат введення даних у діалозі "Таблиця швидкостей"

У діалозі “Таблиці швидкостей” задаємо значення коефіцієнта розрахункового прискорення основи (з вхідних даних), а також використовуючи дані, що наведені у таблиці 1, заповнимо таблицю швидкостей:

Рис. 5. Діалог “Таблиця швидкостей”

Рис. 5. Діалог “Таблиця швидкостей”

2.1.2. Формування властивостей навантаження.

КРОК 1. Створення навантаження.

У діалозі "Навантаження" створимо навантаження з наступними параметрами:
- розмір 18.9х30.6 метрів;
- відмітка поверхні землі +100.0 м, глибина закладання підошви фундаменту відносно рівня землі – 6 метрів, тому відмітка підошви фундаменту +94.0 м;
та натискаємо кнопку “Ок”:

Рис. 6. Діалог “Навантаження”

Рис. 6. Діалог “Навантаження”

КРОК 2. Визначення ефективних глибин ґрунтової товщі.

Ефективна глибина ґрунтової товщі визначається у діалозі “Навантаження” (або “Імпортовані навантаження”). Після натискання на позначку "Розрахунок динаміки" (Рисунок 8) відкривається поле з вибором методу розрахунку ефективних глибин Zpz, Zpxx, Zpyy. У розрахунку запропоновано три варіанти визначення ефективних глибин ґрунтової товщі.

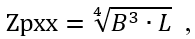
Варіант 1. Значення у комірках ефективних глибин Zpz, Zpxx, Zpyy заповнюються автоматично та визначаються за формулами:

(18)

(19)

(20)

Де B – половина ширини навантаження, L – половина довжини навантаження, (Рис. 7). У разі використання навантаження нестандартної форми, параметри B та L визначаються за розмірами описаного прямокутника.

Варіант 2. Значення у комірках ефективних глибин Zpz, Zpxx, Zpyy заповнюються автоматично та визначаються за формулами:

(21)

(22)

(23)

Де A – площа навантаження, Ixx, Iyy – моменти інерції навантаження. У разі використання навантаження нестандартної форми значення A, Ixx, Iyy визначаються за фактичними розмірами фігури.

Варіант 3. Користувач може сам встановити значення ефективних глибин вручну.

Також, є можливість вручну коригувати будь-яке зі значень вхідних даних. Для цього необхідно прибрати відповідний прапорець "авто".

Рис. 7. Параметри B та L для визначення ефективних глибин

Рис. 7. Параметри B та L для визначення ефективних глибин

У нашому прикладі ми використовуємо наступні вхідні дані для визначення ефективних глибин:

Рис. 8. Визначення ефективних глибин у діалозі “Навантаження”

Рис. 8. Визначення ефективних глибин у діалозі “Навантаження”

Після формування ґрунтових умов, заповнення таблиці швидкостей поширення хвиль у ґрунті (КРОК 1) та визначення ефективних глибин у властивостях навантажень (КРОК 2), запускаємо розрахунок задачі за Методом 6, як показано на рисунку 9.

Рис. 9. Вибір методу розрахунку жорсткості пружної основи

Рис. 9. Вибір методу розрахунку жорсткості пружної основи

2.2. Алгоритм розрахунку всередині програми.

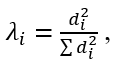
КРОК 1. Визначення значень експериментальних швидкостей у довільній точці навантаження.

Швидкості в довільній точці навантаження знаходяться шляхом просторової інтерполяції, використовуючи вагові коефіцієнти, обернено пропорційні квадрату відстані.

Значення швидкості розповсюдження хвиль у довільній точці визначається за формулою:

(24)

де Vi – швидкості розповсюдження хвиль, які ввів користувач у i-тій свердловині (рис. 10); λi – це ваговий коефіцієнт Лямбда, що залежить від відстані до свердловини і визначається за формулою:

(25)

де di – відстань до i-тої свердловини.

Рис. 10. Вибір методу розрахунку жорсткості пружної основи

Рис. 10. Вибір методу розрахунку жорсткості пружної основи

В якості прикладу розглянемо точку з координатами [0,0].

Для створених нами свердловин визначимо вагові коефіцієнти, які залежать на відстані до точки, що розглядається:

Таблиця 2. Вагові коефіцієнти для свердловин швидкостей.

Свердловина №1 (координати [-5, 0]) Свердловина №2 (координати [8, 0])


Використовуючи значення вагових коефіцієнтів для свердловин, визначимо величини заданих швидкостей у точці:

Таблиця 3. Задані швидкості у точці.

Н, м (глибина) Швидкість поперечних хвиль Vso, (м/с) Швидкість поздовжніх хвиль Vpo, (м/с)
0.7 Vso = 182∙0.28 + 220∙0.719 = 209.14 Vpo = 300∙0.28 + 360∙0.719 = 342.84
3 Vso = 250∙0.28 + 310∙0.719 = 292.89 Vpo = 411∙0.28 + 470∙0.719 = 453.01
7.2 Vso = 553∙0.28 + 615∙0.719 = 597.025 Vpo = 930∙0.28 + 995∙0.719 = 975.8
21.5 Vso = 736∙0.28 + 790∙0.719 = 774.09 Vpo = 1247∙0.28 + 1010∙0.719 = 1075.35
30 Vso = 862∙0.28 + 920∙0.719 = 902.84 Vpo = 1460∙0.28 + 1070∙0.719 = 1178.13


КРОК 2. Визначення усереднених швидкостей.

Для того, щоб розрахувати значення усереднених швидкостей розповсюдження хвиль, запишемо у табличній формі значення заданих швидкостей у точці та відповідні їм товщини ґрунту:

Таблиця 4. Задані швидкості у точці.

Н, м (глибина) Товщина i-го шару, м Vso, (м/с) Vpo, (м/с)
0.7 Швидкості розповсюдження хвиль вище відмітки низу фундаменту не впливають на результати розрахунку коефіцієнта жорсткості С1.
3
6 (глибина підошви фундаменту)
7.2 7.2-6=1.2 597.025 975.8
21.5 21.5-7.2=14.3 774.09 1075.35
30 30-21.5=8.5 902.84 1178.13


Використовуючи значення з таблиці 4, а також значення ефективних глибин з малюнка 8, ми підставляємо ці дані у формули (6) та (7) з розділу 1 і знаходимо значення усереднених швидкостей поздовжніх і поперечних хвиль у точці з координатами [0,0]:

Таблиця 5. Усереднені швидкості поширення хвиль у точці.

Швидкість поперечних хвиль Vso, (м/с) Швидкість поздовжніх хвиль Vpo, (м/с)


Аналогічним чином розраховуються значення усереднених швидкостей хвиль Vso, Vpo для кожної точки навантаження. Потім, для визначення коефіцієнта пружної основи С1 знаходиться середнє арифметичне по навантаженню, що розглядається, від усіх усереднених швидкостей Vso, Vpo у кожній точці.

Для задачі, що розглядається, середні арифметичні значення по навантаженню для швидкостей Vso, Vpo дорівнюють:

Таблиця 6. Середні арифметичні (по навантаженню) швидкості поширення хвиль.

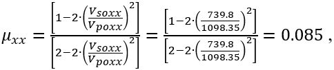
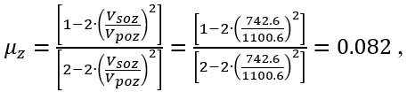
Vsoz = 742.6 м/с Vpoz = 1100.6 м/с
Vsoxx = 739.8 м/с Vpoxx = 1098.35 м/с
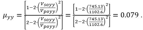
Vsoyy = 745.13 м/с Vpoyy = 1102.6 м/с


КРОК 3. Визначення усереднених значень питомої ваги ґрунту.

Усереднені значення питомої ваги ρz, ρxx, ρyy знаходяться аналогічно: спочатку, використовуючи формули (17) з розділу 1, визначаються значення питомої ваги у кожній точці навантаження, а потім знаходяться середні арифметичні з усіх значень ρz, ρxx, ρyy у кожній точці навантаження.

Для розрахунку усереднених значення питомої ваги ґрунту використовуємо дані ІГЕ у точці з координатами [0,0], (Рис. 11). Запишемо розрахунок усереднених значень питомої ваги у точці, що розглядається:

(26)

(27)

(28)

Рис. 11. ІГЕ у точці з координатами [0,0]

Рис. 11. ІГЕ у точці з координатами [0,0]

Оскільки, у розглянутому прикладі, у всіх точках створені однакові умови ІГЕ, тому середні арифметичні значення ρz, ρxx, ρyy будут співпадати з тими, що отримані у точці з координатами [0,0].



КРОК 4. Розрахунок коефіцієнтів жорсткості С1.

Використовуючи формули (5) із розділу 1, розрахуємо значення коефіцієнтів Пуассона μ:

(29)

(30)

(31)

Використовуючи формули (11), (12), (13) з розділу 1, розрахуємо значення ефективних модулей зсуву Gz, Gxx, Gyy:

(32)

(33)

(34)

Для розрахунку модулей зсуву необхідно помножити значення ефективних модулей зсуву на коефіцієнт, що береться із таблиці Д.2 в документі [1]. Цей коефіцієнт залежить від розрахункового прискорення основи (у частках g) з вхідних даних (показано на малюнку 5).

(35)

(36)

(37)

Використовуючи формули (8), (9), (10) з розділу 1, розрахуємо значення ефективних модулів пружності:

(38)

(39)

(40)

Використовуючи формули (2), (3), (4) з розділу 1, розрахуємо значення коефіцієнтів пружної основи С1:

(41)

(42)

(43)


2.3. Перегляд результатів

При розрахунку коефіцієнтів жорсткості за Методом 6 реалізована можливість візуалізації наступних значень:

1. Результати в точці.

У діалозі “Результати в точці” (Рис. 12) є можливість побачити
- епюри зміни заданих швидкостей Vso, Vpo по глибині;
- значення ефективних глибин ґрунтової товщі Zpz, Zpxx, Zpyy;
- усереднені швидкості розповсюдження хвиль в точці Vsoz, Vsoxx, Vsoyy, Vpoz, Vpoxx, Vpoyy;
- коефіцієнти пружної основи Cz, C1xx, C1yy.


2. Перегляд зміни по глибині заданих (вхідних) швидкостей у кожній точці навантаження.

При натисканні на вкладку Vsoi або Vpoi відкривається діалог "Зріз". Використовуючи скрол у діалозі “Зріз” (Рис. 13), є можливість вказати відмітку, де необхідно показати значення заданих швидкостей розповсюдження поперечних або поздовжніх хвиль.


3. Перегляд усереднених швидкостей.

Для того, щоб показати значення усереднених швидкостей розповсюдження хвиль, необхідно використовувати випадаючий список у діалозі "Зріз". У випадаючому списку є можливість вибрати для якого різновиду руху частинок (поступальний рух по осі z, або коливальні рухи відносно осей хх та уу) необхідно відтворити ізополя.

У діалозі “Зріз” також є прапорець, при натисканні на який відображаються значення середніх арифметичних усереднених швидкостей розповсюдження хвиль. У прикладі ці значення вказані у Таблиці 6. (Рис. 14).

Рис. 12. Діалог “Результати у точці”

Рис. 13. Діалог “Зріз”

Рис. 14. Діалог “Зріз”

Рис. 12. Діалог “Результати у точці”
Рис. 13. Діалог “Зріз”
Рис. 14. Діалог “Зріз”


4. Перегляд ізополей коефіцієнтів пружної основи.

При натисканні на вкладки C1z, C1xx, C1yy, є можливість побачити значення ізополей коефіцієнтів пружної основи, які були розраховані за формулами (34), (35), (36).


3. Імпорт із системи Ґрунт у ЛІРА-САПР

У версії ЛІРА-САПР 2024 (система "Візор") у діалозі "Модель ґрунту" з'явилася нова вкладка "Динаміка". При виборі розрахунку за Методом 6 - відкривається вкладка “Динаміка” і стають активними радіо-кнопки з вибором різновиду руху динамічної хвилі (поступальний або коливальний рух), від якої необхідно розрахувати коефіцієнт С1 для імпорту із системи Ґрунт (рисунок 15).

Рис. 15. Імпорт із Ліри у систему Ґрунт

Рис. 15. Імпорт із Ліри у систему Ґрунт

Список використаної літератури

  1. Нормативно-техническое пособие СП РК EN 1998-1:2004/2012 “Проектирование сейсмостойких зданий. Часть: проектирование гражданских зданий. Общине требования”.
  2. NIST GCR 12-917-21” Soil-Structure Interaction for Building Structures” by NEHRP Consultants Joint Venture.

Приклад розрахунку С1 за методом 6

Помилка в тексті? Виділіть її та натисніть Ctrl + Enter, щоб повідомити нам.

Ольга Башинська

Кандидат технічних наук - спеціальність «Будівельні конструкції, будівлі та споруди».
Інженер-програміст компанії «ЛІРА САПР».
Розробка програмних комплексів.

Інші публікації цього автора


Коментарі

Написати