При реалізації розрахунку за методом 5 взято за основу ідею із СНіП 2.02.02-87 «Фундаменти машин із динамічним навантаженням» (розділ 1.25, рівняння 4). Дану ідею модернізовано та адаптовано під розрахунок за нормативними документами, які реалізовано у системі Ґрунт ПК ЛІРА САПР. В даній статті розглянуто приклад розарухнку коефіцієнта постелі С1 за методом 5 у відповідності до норм ДБН.

При розрахунку за методом 5, коефіцієнт жорсткості пружної основи С1 визначається за формулою:

(1)

де A10 = 10 м2; A – площа підошви фундаменту, м2; Eс – усереднене значення модуля деформації шарів ґрунту у межах вистоти стисненої зони Нс; bс – усереднене значення коефіцієнту, що залежить від виду шарів ґрунту у межах вистоти стисненої зони Нс.

Формула розрахунку усереднених значень Eс та bс обирається в залежності в обраних нормативних документів, згідно з якими виконується розрахунок. У випадку розрахунку за нормами ДБН значення Eс та bс розраховується за формулами:

(2)

Де Ei – модуль деформації, ki – коефіцієнт переходу до другого модуля деформації кожного елементарного ґрунту в межах висоти стисненої зони Hc; σi – напруження від дії зовнішнього навантаження; dzi – товщина елементарного шару ґрунту.

(3)

Де b0i – коефіцієнт, що залежить від різновиду кожного елементарного ґрунту в межах висоти стисненої зони Hc. Для піщаних ґрунтів він приймається рівним 1, для супісків та суглинків рівним 1.2, для глин приймається рівним 1.5; σi – напруження від дії зовнішнього навантаження; dzi – товщина елементарного шару ґрунту.

Приклад розрахунку

В якості прикладу розглянемо фундаментну плиту розміром 12х8 метрів, для якої необхідно знайти значення коефіцієнту жорсткості пружної основи С1 за методом 5. Глибина залягання підошви фундаменту відносно рівня землі – 3 метри. Коефіцієнт переходу до другого модуля деформації k для кожного шару ґрунту дорівнює 5.

Ґрунтові умови наведені на малюнку 1.

Малюнок 1. Ґрунтові умови

Малюнок 1. Ґрунтові умови

Розглянемо точку в центрі навантаження, з координатами [0,0]. На малюнку 2 представлені значення епюри напружень від зовнішнього навантаження (розраховані за методом Буссінеска), висота стисненої зони Нс та товщина елементарних шарів ґрунту у розглянутій точці.

Малюнок 2. Розподіл напружень у точці [0.0]

Малюнок 2. Розподіл напружень у точці [0.0]

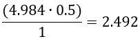
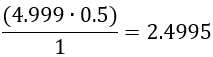
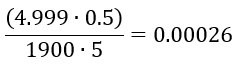
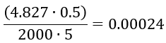
Використовуючи значення напружень σi з малюнку 2 та формули 2 і 3, - розпишемо розрахунок усереднених значень Eс та bс у табличному вигляді:

№ ІГЕ Відмітка dzi σi Ei σi∙dzi
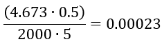
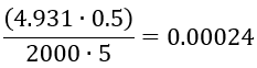
1 96.75 97-96.5=0.5 4.999 1900 0.00123 4.999∙0.5=2.4995 12.2065 9923.98
96.25 96.5-96=0.5 4.984 4.984∙0.5=2.492
2 95.75 96-95.5=0.5 4.931 2000 4.931∙0.5=2.4655
95.25 95.5-95=0.5 4.827 4.827∙0.5=2.4135
94.75 95-94.5=0.5 4.673 4.673∙0.5=2.336

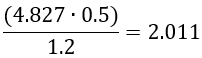
№ ІГЕ Відмітка dzi σi b0i σi∙dzi
1 96.75 97-96.5=0.5 4.999 1 10.99 4.999∙0.5=2.4995 12.2065 1.1
96.25 96.5-96=0.5 4.984 4.984∙0.5=2.492
2 95.75 96-95.5=0.5 4.931 1.2 4.931∙0.5=2.4655
95.25 95.5-95=0.5 4.827 4.827∙0.5=2.4135
94.75 95-94.5=0.5 4.673 4.673∙0.5=2.336

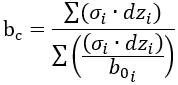
Використовуючи отримані значення Eс та bс підставимо їх у рівняння 1 та розрахуємо значення коефіцієнту постелі С1:

(4)

Результати розрахунку в ПК ЛІРА-САПР показані на малюнку 3.

Малюнок 3. Результати розрахунку в точці ПК ЛІРА-САПР

Малюнок 3. Результати розрахунку в точці ПК ЛІРА-САПР

Приклад розрахунку С1 за методом 5

Помилка в тексті? Виділіть її та натисніть Ctrl + Enter, щоб повідомити нам.

Ольга Башинська

Кандидат технічних наук - спеціальність «Будівельні конструкції, будівлі та споруди».
Інженер-програміст компанії «ЛІРА САПР».
Розробка програмних комплексів.

Інші публікації цього автора


Коментарі

Написати