Реализовано в ЛИРА-САПР начиная с версии 2024

Содержание

  1. Основные формулы и допущения
  2. Пример расчета
    1. Формирование исходных данных
    2. Описание алгоритма расчета внутри программы
    3. Просмотр результатов расчета
  3. Импорт из системы Грунт в ЛИРА САПР

1. Основные формулы и допущения

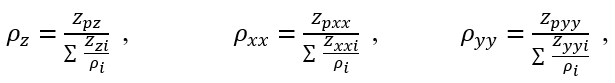
В ЛИРА САПР 2024 (система ГРУНТ) реализован новый метод расчета коэффициента жесткости упругого основания С1 (Метод 6), который основывается на экспериментальных данных о скоростях распространения упругих волн в слоях грунта, расположенных ниже подошвы фундаментов. В основе этого метода лежит модель Пастернака, согласно которой коэффициент постели С1 рассчитывается по формуле:

(1)

где Нс – глубина сжимаемой толщи, μ0 – среднее значение коэффициента Пуассона, E0 – среднее значение модуля деформации грунта.

При расчете на динамическое воздействие рассматривается три вида движения частиц грунта: поступательное движение по оси z, и два вида качательных колебаний* (по оси x, и по оси у). Поэтому вместо одного значения коэффициента постели С1 рассматриваются три значения (Cz, C1xx, C1yy) каждое из которых отображает работу упргого основания в указанном направлении от сответствующего вида движения частиц. Поэтому, формула 1 расписывается следующим образом:

(2)

(3)

(4)

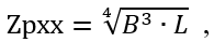
Где Zpz – это толща грунта, необходимая для анализа работы основания от поступательных дивжений частиц грунта, Zpxx, Zpyy – это толща грунта, необходимая для анализа работы основания при качательных колебаниях*. Более подробно о них расписано в Примере расчета, пункт 2.2.

При расчете по Методу 6, коэффициент Пуассона μ определяется исходя из отношения между скоростями распространения поперечных и продольных динамических волн и рассчитывается по формулам:

(5)

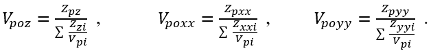
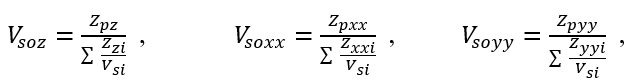
Где Vsoz, Vsoxx, Vsoyy – скорость распространения поперечных волн, Vpoz, Vpoxx, Vpoyy – скорость распространения продольных волн.

Скорости волн Vsoz, Vsoxx, Vsoyy, Vpoz, Vpoxx, Vpoyy для расчета коэффициентов постели определяются как средние арифметические по нагрузке из усредненых скоростей волн в каждой точке. Значения усредненных скоростей волн в каждой точке нагрузки рассчитываются по формулам:

(6)

(7)

Где Vsi, Vpi – это экспериментальные значения скоростей распространеня поперечных и продольных волн в элементарном слое грунта, которые задаются пользователем.

При расчете коэффициентов постели C1Z, C1XX, C1YY из формул 2, 3, 4, – используются значения эффективных модулей упругости, которые рассчитываются по формулам:

(8)

(9)

(10)

Где Gz, Gxx, Gyy – значения эффективных модулей сдвига, которые определяются по формулам:

(11)

(12)

(13)

Где a – это коэффициент, который берется из таблицы Д.2 в документе [1]. Этот коэффициент зависит от расчетного ускорения основания (в долях g) из исходных данных (указан на рисунке 5).

(14)

(15)

(16)

Где ρz, ρxx, ρyy – средние удельные массы грунта, которые находятся аналогичным образом, как и скорости распространения поперечных и продольных волн, которые используются при расчете коэффициентов Пуассона в формулах (5). То есть, значения ρz, ρxx, ρyy расчитываются как средние арифметические по нагрузке от усредненных удельных масс ρz, ρxx, ρyy в каждой точке, которые были рассчитаны по формулам:

(17)

Где ρi – это значение удельного веса i-го слоя грунта, которое берется из таблицы “Характеристики грунтов”.


2. Пример определения упругих свойств основания при расчете зданий на сейсмические воздействия в ЛИРА САПР 2024

2.1. Формирование исходных данных.

В качестве примера рассмотрим фундаментную плиту размером 18.9х30.6 метров, для которой необходимо найти значения коэффициента постели С1 с учетом действия сейсмической нагрузки. Глубина заложения подошвы фундамента относительно уровня земли – 6 метров.

Расчетное ускорение основания – 0,487 g.

Грунтовые условия приведены на рисунке 1:

Рис. 1. Грунтовые условия

Рис. 1. Грунтовые условия

Для выполнения расчета по Методу 6 необходимо задать экспериметальные значения скоростей распространения упругих волн в слоях грунтовой толщи на строительной площадке. Предположим, что у нас есть две скважины с экспериментальными значениями скоростей распространения волн в упругой среде, значения которых приведены в таблице:

Таблица 1. Скорости распространения волн в слоях грунтовой толщи.

Н, м (глубина) Скорости поперечных волн Vso (м/с) Скорости продольных волн Vpo (м/с)
Скважина №1 Скважина №2 Скважина №1 Скважина №2
0.7 182 220 300 360
3 250 310 411 470
7.2 553 615 930 995
21.5 736 790 1247 1010
30 862 920 1460 1070


2.1.1. Формирование геологических условий.

ШАГ 1. Задание грунтовых условий в диалоге “Скважины”.

Рис. 2. Задание ИГЭ в диалоге “Скважины”

Рис. 2. Задание ИГЭ в диалоге “Скважины”

ШАГ 2. Задание скоростей распространения волн.

Для того, чтобы задать скорости распространения волн в грунте, в ЛИРА САПР необходимо открыть диалог “Таблица скоростей”, нажав на соответствующую вкладку, что указана на рисунке 3:

Рис. 3. Открытие диалога “Таблица скоростей”

Рис. 3. Открытие диалога “Таблица скоростей”

Формат задания исходных данных в диалоге “Таблица скоростей” следующий:

Рис. 4. Формат задания данных в диалоге “Таблица скоростей”

Рис. 4. Формат задания данных в диалоге “Таблица скоростей”

В диалоге “Таблица скоростей” зададим значение коэффициента расчетного ускорения основания (из исходных данных), а также используя данные, что приведены в таблице 1, сформируем таблицу скоростей:

Рис. 5. Диалог “Таблица скоростей”

Рис. 5. Диалог “Таблица скоростей”

2.1.2. Формирование свойств нагрузки.

ШАГ 1. Создание нагрузки.

В диалоге “Нагрузки” создадим нагрузку со следующими параметрами:
- размер 18.9х30.6 метров;
- отметка поверхности земли +100.0 м, глубина заложения подошвы фундамента относительно уровня земли – 6 метров, поэтому отметка подошвы фундамента +94.0 м;
и нажмём кнопку “Ок”:

Рис. 6. Диалог “Нагрузки”

Рис. 6. Диалог “Нагрузки”

ШАГ 2. Определение эффективных глубин грунтовой толщи.

Эффективная глубина грунтовой толщи определяется в диалоге “Нагрузки” (или “Импортированные нагрузки”). После нажатия на галочку “Расчет динамики” (Рис. 8) открывается поле с выбором метода расчета эффективных глубин Zpz, Zpxx, Zpyy. В расчете предложены три варианта определения эффективных глубин грунтовой толщи.

Вариант 1. Значения в ячейках эффективных глубин Zpz, Zpxx, Zpyy заполняются автоматически и определяются по формулам:

(18)

(19)

(20)

Где B – половина ширины нагрузки, L – половина длины нагрузки, (Рис. 7). В случае использования нагрузки нестандартной формы, параметры B и L определяются по размерам описаного прямоугольника.

Вариант 2. Значения в ячейках эффективных глубин Zpz, Zpxx, Zpyy заполняются автоматически и определяются по формулам:

(21)

(22)

(23)

Где A – площадь нагрузки, Ixx, Iyy – моменты инерции нагрузки. В случае использования нагрузки нестандартной формы, значения A, Ixx, Iyy определяются по фактическим размерам фигуры.

Вариант 3. Пользователь может сам задать значения эффективных глубин вручную.

Также, есть возможность вручную корректировать любое из значений исходных данных, -для этого необходимо убрать соответствующую галочку “авто”.

Рис. 7. Параметры B и L для определения эффективных глубин

Рис. 7. Параметры B и L для определения эффективных глубин

В нашем примере, мы используем следующие исходные данные для определения эффективных глубин:

Рис. 8. Определение эффективных глубин в диалоге “Нагрузки”

Рис. 8. Определение эффективных глубин в диалоге “Нагрузки”

После формирования грунтовых условий, задания таблицы скоростей распространения волн в грунте (ШАГ 1) и определения эффективных глубин в свойствах нагрузок (ШАГ 2), запускаем расчет задачи по Методу 6, как указано на рисунке 9.

Рис. 9. Выбор метода расчета жесткости упругого основания

Рис. 9. Выбор метода расчета жесткости упругого основания

2.2. Описание алгоритма расчета внутри программы.

ШАГ 1. Определение значений экспериментальных скоростей в произвольной точке нагрузки.

Скорости в произвольной точке нагрузки находятся путем пространственной интерполяции, используя весовые коэффициенты, обратно пропорциональные квадрату расстояния.

Значение скорости распостранения волны в произвольной точке определяется по формуле:

(24)

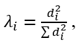
где Vi – скорость распространения волны, которую задал пользователь в i-той скважине (рис. 10); λi – это весовой коэффициент Лямбда, что зависит от расстояния к скважине и определяется по формуле:

(25)

где di – расстояние к i-той скважине.

Рис. 10. Выбор метода расчета жесткости упругого основания

Рис. 10. Выбор метода расчета жесткости упругого основания

В качестве примера рассмотрим точку с координатами [0,0].

Для заданных скважин определим весовые коэффициенты, которые зависят от расстояния к рассматриваемой точке:

Таблица 2. Весовые коэффициенты для скважин скоростей.

Скважина №1 (координаты [-5, 0]) Скважина №2 (координаты [8, 0])


Используя значения весовых коэффициентов для скважин, определим величины заданных скоростей в точке:

Таблица 3. Заданные скорости в точке.

Н, м (глубина) Скорость поперечных волн Vso, (м/с) Скорость продольных волн Vpo, (м/с)
0.7 Vso = 182∙0.28 + 220∙0.719 = 209.14 Vpo = 300∙0.28 + 360∙0.719 = 342.84
3 Vso = 250∙0.28 + 310∙0.719 = 292.89 Vpo = 411∙0.28 + 470∙0.719 = 453.01
7.2 Vso = 553∙0.28 + 615∙0.719 = 597.025 Vpo = 930∙0.28 + 995∙0.719 = 975.8
21.5 Vso = 736∙0.28 + 790∙0.719 = 774.09 Vpo = 1247∙0.28 + 1010∙0.719 = 1075.35
30 Vso = 862∙0.28 + 920∙0.719 = 902.84 Vpo = 1460∙0.28 + 1070∙0.719 = 1178.13


ШАГ 2. Определение усредненных скоростей.

Для того, чтобы рассчитать значения усредненных скоростей распространения волн, запишем в табличной форме значения заданных скоростей в точке и соответствующие им толщины грунта:

Таблица 4. Заданные скорости в точке.

Н, м (глубина) Толщина i-го слоя, м Vso, (м/с) Vpo, (м/с)
0.7 Скорости распространения волн выше отметки низа фундамента не влияют на результаты расчета коэффициента жесткости С1.
3
6 (глубина подошвы фундамента)
7.2 7.2-6=1.2 597.025 975.8
21.5 21.5-7.2=14.3 774.09 1075.35
30 30-21.5=8.5 902.84 1178.13


Используя значения из таблицы 4, а также величины эффективных глубин из рисунка 8, мы подставляем эти данные в формулы (6) и (7) из раздела 1 и находим значения усредненных скоростей продольных и поперечных волн в рассматриваемой точке с координатами [0,0]:

Таблица 5. Усредненные скорости распространения волн в точке.

Скорость поперечных волн Vso, (м/с) Скорость продольных волн Vpo, (м/с)


Аналогичным образом находятся значения усредненных скоростей волн Vso, Vpo для каждой точки нагрузки. Затем, для определения коэффициента постели С1 находится среднее арифметическое по рассматриваемой нагрузке из всех усредненных скоростей Vso, Vpo в каждой точке.

Для рассматриваемой задачи средние арифметические значения по нагрузке для скоростей Vso, Vpo равны:

Таблица 6. Средние арифметические (по нагрузке) скорости распространения волн.

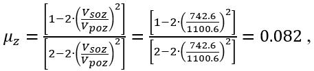
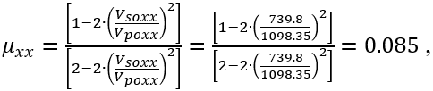
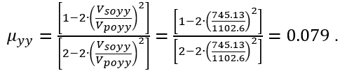
Vsoz = 742.6 м/с Vpoz = 1100.6 м/с
Vsoxx = 739.8 м/с Vpoxx = 1098.35 м/с
Vsoyy = 745.13 м/с Vpoyy = 1102.6 м/с


ШАГ 3. Определение усредненных удельных масс грунта.

Усредненные удельные массы грунта ρz, ρxx, ρyy находятся аналогичным образом: вначале, используя формулы (17) из раздела 1, определяются значения усредненных удельных масс в каждой точке нагрузки, а затем находятся средние арифметические из всех значений ρz, ρxx, ρyy в каждой точке нагрузки.

Для расчета усредненных удельных масс грунта используем данные ИГЭ в точке с координатами [0,0], (Рис. 11). Запишем расчет усредненных удельных масс в рассматриваемой точке:

(26)

(27)

(28)

Рис. 11. ИГЕ в точке с координатами [0,0]

Рис. 11. ИГЕ в точке с координатами [0,0]

Поскольку, в рассматриваемом примере, во всех точках заданы одинаковые условия ИГЭ, поэтому средние арифметические значения ρz, ρxx, ρyy будут совпадать с теми, что получены в точке с координатами [0,0].



ШАГ 4. Расчет коэффициентов жесткости С1.

Используя формулы (5) из раздела 1, рассчитаем значения коэффициентов Пуассона μ:

(29)

(30)

(31)

Используя формулы (11), (12), (13) из раздела 1, рассчитаем значения эффективных модулей сдвига Gz, Gxx, Gyy:

(32)

(33)

(34)

Для получения модулей сдвига, необходимо умножить значения эффективных модулей сдвига на коэффициент, который берется из таблицы Д.2 в документе [1]. Этот коэффициент зависит от расчетного ускорения основания (в долях g) из исходных данных (указан на рисунке 5).

(35)

(36)

(37)

Используя формулы (8), (9), (10) из раздела 1, рассчитаем значения эффективных модулей упругости:

(38)

(39)

(40)

Используя формулы (2), (3), (4) из раздела 1, рассчитаем значения коэффициентов постели С1:

(41)

(42)

(43)


2.3. Просмотр результатов расчета

При расчете коэффициентов жесткости по Методу 6 реализована возможность визуализации следующих значений:

1. Результаты в точке.

В диалоге “Результаты в точке” (Рис. 12) можно увидеть:
- эпюры изменения заданных скоростей Vso, Vpo по глубине;
- значения эффективных глубин грунтовой толщи Zpz, Zpxx, Zpyy;
- усредненные скорости распространения волн в точке Vsoz, Vsoxx, Vsoyy, Vpoz, Vpoxx, Vpoyy;
- коэффициенты постели Cz, C1xx, C1yy.


2. Просмотр измения по глубине заданных (исходных) скоростей в каждой точке нагрузки.

При нажатии на вкладки Vsoi или Vpoi открывается диалог “Срез”. Используя скрол в диалоге “Срез” (Рис. 13), можно указать отметку, на которой необходимо визуализировать значения заданных скоростей распространения поперечных или продольных волн.


3. Просмотр усредненных скоростей.

Для того, чтобы отобразить значения усредненных скоростей распространения волн, необходимо использовать выпадающий список в дилоге “Срез”. В выпадающем списке можно выбрать для какого вида движения частиц (поступательное движение по оси z, или колебательные движения по осям хх, уу) необходимо отобразить изополя.

В дилоге “Срез” также есть галочка, при нажатии на которую отображаются значения средних арифметических усредненных скоростей распространения волн. В примере эти значения указаны в Таблице 6. (Рис. 14).

Рис. 12. Диалог “Результаты в точке”

Рис. 13. Диалог “Срез”

Рис. 14. Диалог “Срез”

Рис. 12. Диалог “Результаты в точке”
Рис. 13. Диалог “Срез”
Рис. 14. Диалог “Срез”


4. Просмотр изополей коэффициетов постели.

При нажатии на вкладки C1z, C1xx, C1yy, можно увидеть значения изополей коэфициентов постели, которые были посчитаны по формулам (34), (35), (36).


3. Импорт из системы Грунт в ЛИРА САПР

В версии ЛИРА САПР 2024 (система “Визор”) в диалоге “Модель грунта” появилась новая вкладка “Динамика”. При выборе расчета по Методу 6, - открывается вкладка “Динамика” и становятся активными радио-кнопки с выбором вида движения динамической волны (поступательное или колебательное движение), от которой необходимо рассчитать коэффициент С1 для импорта из системы в Грунт (рисунок 15).

Рис. 15. Импорт из Лиры в систему Грунт

Рис. 15. Импорт из Лиры в систему Грунт

Список используемой литературы

  1. Нормативно-техническое пособие СП РК EN 1998-1:2004/2012 “Проектирование сейсмостойких зданий. Часть: проектирование гражданских зданий. Общине требования”.
  2. NIST GCR 12-917-21” Soil-Structure Interaction for Building Structures” by NEHRP Consultants Joint Venture.

* - в документе [2] в данном контексте используются термины “rocking” и “rotation”

Пример расчета С1 по методу 6

Заметили ошибку? Выделите ее и нажмите Ctrl+Enter, чтобы сообщить нам.

  • 3.5K
Поделиться публикацией:

Ольга Башинская

Кандидат технических наук - специальность "Строительные конструкции, здания и сооружения".
Инженер-программист компании «ЛИРА САПР».
Разработка программных комплексов.

Другие публикации этого автора


Комментарии

Написать