Расчет деформаций других типов грунтов можно найти по ссылке.

Содержание:

  1. 1. Определение деформаций оснований за счет консолидации и ползучести.
  2. 2. Пример 1. Расчёт осадок оснований за счёт консолидации.
  3. 3. Пример 2. Расчёт осадок оснований за счёт ползучести.
  4. 4. Импорт результатов расчёта из системы ГРУНТ в ВИЗОР.

Определение деформаций оснований за счет консолидации и ползучести

1. Полные деформации основания

При решении задачи определения осадок оснований из водонасыщенных грунтов во времени, полные деформации основания определяются по формуле:

(1)

где Ss – полные деформации основания; S0 – мгновенная осадка основания; S1 – осадка, вызванная консолидацией; S2 – осадка, вызванная ползучестью (вторичная консолидация).

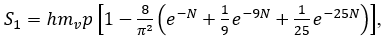
2. Определение осадки за счёт консолидации

Осадка для любого времени t за счёт консолидации определяется по формуле (НТП РК 07-01.4-2012, пункт 7.2.2.1, формулы 7.5, 7.6, 7.7):

Ф-ла 8.2.png

(2)

где h – толщина элементарного слоя; mЅ – коэффициент относительной сжимаемости; Б – давление, действующее на вершине слоя; N – величина, которая определяется по формуле:

Ф-ла 8.3.png

(3)

где t – время определения осадок; Cv – коэффициент консолидации грунта, который определяется по формуле:

Ф-ла 8.4.png

(4)

где kf – коэффициент фильтрации; іw – удельный вес воды.

3. Определение осадки за счёт ползучести

Осадка ползучести определяется по формуле (НТП РК 07-01.4-2012, пункт 7.2.3.5, формула 7.16):

Ф-ла 8.5.png

(5)

где І – коэффициент, который равен 0.8; hi – толщина i-го слоя; bki – параметр ползучести грунта, который зависит от дополнительного давления (давления от внешней нагрузки) в этом слое и определяется в результате проведения компрессионных испытаний; t – время определения осадок; te – время окончания фильтрационной (первичной) консолидации.

Явление ползучести грунтов является следствием процессов, которые происходят в грунтах при первичной консолидации (уплотнения грунта в следствии выжимания воды из пор грунта (фильтрации)). Поэтому ползучесть также называют вторичной консолидацией. Ползучесть грунтов развивается после того, как фильтрационная (первичная) консолидация считается установившейся (или оконченной).

Для определения времени окончания фильтрационной (первичной) консолидации te используется следующий алгоритм.

В уравнении (2) выражение в квадратных скобках называют степенью консолидации U:

Ф-ла 8.6.png

(6)

Деформации первичной консолидации считают установившимися, когда степень консолидации U достигает 95% и более. Если в уравнение (6) подставить величину U=0.95, тогда можно найти значение N. В таком случае величина N будет равна 2.8. Используя формулу (3), можно определить время установившейся консолидации:

Ф-ла 8.7.png

(7)

Если в уравнение (7) подставить N = 2.8, тогда время установившейся консолидации будет равно:

Ф-ла 8.8.png

(8)

Пример 1. Расчёт осадок оснований за счёт консолидации

Необходимо определить осадку первичной (фильтрационной) консолидации для столбчатого фундамента через различные промежутки времени: 9 часов (=0.001 года), 24 часа (=0.0025 года), 4 суток (=0.01 года), 61 суток (= 0.168 года), 1 год, 10 лет. Геометрические размеры подошвы 2х3 метра, глубина заложения – 1.5 метра. Среднее давление под подошвой фундамента составляет Р = 80 т. Грунтовые условия строительной площадки приведены в таблице 1.

Таблица 1. Грунтовые условия.

№ ИГЭ

Тип грунта

Удельный вес,
кН/м3

Удельный вес частиц,
кН/м3

Коэффициент пористости е

Модуль деформации,
кН/м2

1

Песок мелкий

17

26.5

0.72

19500

2

Торф (подвержен деформациям консолидации)

17.7

27.1

0.76

10300

3

Супесь

15.7

27.2

0.93

10000


Коэффициент относительной сжимаемости торфа mv = 0.003 (т/м2)-1, коэффициент фильтрации торфа kf = 1.8 м/год.

На рисунке 1 показаны графики напряжений от собственного веса грунта и от внешней нагрузки, которые были посчитаны заранее.

Расчётная схема для определения осадки грунта.png

Рис.1. Расчётная схема для определения осадки грунта.
σzp- эпюра давления от внешней нагрузки; σzg – эпюра давления от собственного веса грунта в естественном состоянии; σzg,w – эпюра давления от собственного веса грунта, с учётом возможного водонасыщения; σz - суммарное давление, которое равно σzzpzg,w.

Примечание: Начиная с версии ЛИРА-САПР 2024 суммарное давление σz определяется с учётом давления от собственного веса вынутого в котловане грунта и определяется по формуле: σz=(σzpТ)+σzg,w.

Для определения осадки консолидации торфяной залежи необходимо задать соответствующие характеристики в диалоговом окне «Характеристики грунтов», при переходе на вкладку «Консолидация» (рис. 2). В таблице характеристик грунтов нужно задать следующие параметры:

  1. Номер ИГЭ. Этот номер должен соответствовать номеру ИГЭ в основной таблице Характеристик грунтов.
  2. Коэффициент относительной сжимаемости mv.
  3. Коэффициент фильтрации kf.
  4. Время определения полных деформаций оснований (в годах).

Исходные данные для расчёта консолидации.png

Рис. 2. Исходные данные для расчёта консолидации.

1. Решение задачи.

Используя формулу (4) определим коэффициент консолидации грунта:

Ф-ла 8.9.png

(9)

Затем, для каждого элементарного слоя определим величину N, используя формулу (3), а также деформации консолидации, используя формулу (2).

Результаты расчёта деформаций консолидации запишем в табличном виде.

Таблица 2. Расчёт деформаций консолидации для времени t = 9 часов = 0.001 год.

Отметка, м

Толщина слоя, м

σz, т/м2 (на вершине слоя)

Табл 8.1.png

Осадка S1, м

Σ S1, м

Мгновенная осадка S0, м
(посчитана заранее)

Полные деформации основания Ss, м

97

-

-

-

-

0.3

0.098

0.398

96

97 – 96 = 1

51.52

1.47894

0.126

95

96 – 95 = 1

31.59

1.47894

0.077

94

95 – 94 = 1

22.17

1.47894

0.054

93

94 – 93 = 1

17.695

1.47894

0.043


Рис. 3. Сравнение результатов расчёта основания:
а) без учёта консолидации;
б) с учётом деформаций консолидации.

8.3а.png

8.3б.png

а)

б)


Таблица 3. Расчёт деформаций консолидации для времени t = 24 часа = 0.0025 года.

Отметка, м

Толщина слоя, м

σz, т/м2 (на вершине слоя)

Табл 8.1.png

Осадка S1, м

Σ S1, м

Мгновенная осадка S0, м
(посчитана заранее)

Полные деформации основания Ss, м

97

-

-

-

-

0.36

0.098

0.458

96

97 – 96 = 1

51.52

3.69735

0.151

95

96 – 95 = 1

31.59

3.69735

0.092

94

95 – 94 = 1

22.17

3.69735

0.065

93

94 – 93 = 1

17.695

3.69735

0.052


Рис. 4. Сравнение результатов расчёта основания:
а) без учёта консолидации;
б) с учётом деформаций консолидации.

8.4а.png

8.4б.png

а)

б)


Таблица 4. Расчёт деформаций консолидации для времени t = 4 суток = 0.01 года.

Отметка, м

Толщина слоя, м

σz, т/м2 (на вершине слоя)

Табл 8.1.png

Осадка S1, м

Σ S1, м

Мгновенная осадка S0, м
(посчитана заранее)

Полные деформации основания Ss, м

97

-

-

-

-

0.36877

0.098

0.467

96

97 – 96 = 1

51.52

14.7894

0.1545

95

96 – 95 = 1

31.59

14.7894

0.09477

94

95 – 94 = 1

22.17

14.7894

0.0665

93

94 – 93 = 1

17.695

14.7894

0.053


Рис. 5. Сравнение результатов расчёта основания:
а) без учёта консолидации;
б) с учётом деформаций консолидации.

8.5а.png

8.5б.png

а)

б)


Таблица 5. Расчёт деформаций консолидации для времени t = 61 суток = 0.168 года.

Отметка, м

Толщина слоя, м

σz, т/м2 (на вершине слоя)

Табл 8.1.png

Осадка S1, м

Σ S1, м

Мгновенная осадка S0, м
(посчитана заранее)

Полные деформации основания Ss, м

97

-

-

-

-

0.36877

0.098

0.467

96

97 – 96 = 1

51.52

14.7894

0.1545

95

96 – 95 = 1

31.59

14.7894

0.09477

94

95 – 94 = 1

22.17

14.7894

0.0665

93

94 – 93 = 1

17.695

14.7894

0.053


Рис. 6. Сравнение результатов расчёта основания:
а) без учёта консолидации;
б) с учётом деформаций консолидации.

Сравнение результатов расчёта основания: а) без учёта консолидации.png

Сравнение результатов расчёта основания: б) с учётом деформаций консолидации.png

а)

б)


Таблица 6. Расчёт деформаций консолидации для времени t = 1 год.

Отметка, м

Толщина слоя, м

σz, т/м2 (на вершине слоя)

Табл 8.1.png

Осадка S1, м

Σ S1, м

Мгновенная осадка S0, м
(посчитана заранее)

Полные деформации основания Ss, м

97

-

-

-

-

0.36877

0.098

0.467

96

97 – 96 = 1

51.52

14.7894

0.1545

95

96 – 95 = 1

31.59

14.7894

0.09477

94

95 – 94 = 1

22.17

14.7894

0.0665

93

94 – 93 = 1

17.695

14.7894

0.053


Рис. 7. Сравнение результатов расчёта основания:
а) без учёта консолидации;
б) с учётом деформаций консолидации.

Сравнение результатов расчёта основания: а) без учёта консолидации.png

Сравнение результатов расчёта основания: б) с учётом деформаций консолидации.png

а)

б)


Таблица 7. Расчёт деформаций консолидации для времени t = 10 лет.

Отметка, м

Толщина слоя, м

σz, т/м2 (на вершине слоя)

Табл 8.1.png

Осадка S1, м

ρ S1, м

Мгновенная осадка S0, м
(посчитана заранее)

Полные деформации основания Ss, м

97

-

-

-

-

0.36877

0.098

0.467

96

97 – 96 = 1

51.52

14.7894

0.1545

95

96 – 95 = 1

31.59

14.7894

0.09477

94

95 – 94 = 1

22.17

14.7894

0.0665

93

94 – 93 = 1

17.695

14.7894

0.053


Рис. 8. Сравнение результатов расчёта основания:
а) без учёта консолидации;
б) с учётом деформаций консолидации.

Сравнение результатов расчёта основания: а) без учёта консолидации.png

Сравнение результатов расчёта основания: б) с учётом деформаций консолидации.png

а)

б)


График развития осадки консолидации.png

Рис.9. График развития осадки консолидации.

Пример 2. Расчёт осадок оснований за счёт ползучести

Используя исходные данные, которые указаны в Примере 1, а также полученные решения деформации первичной консолидации, необходимо определить осадку ползучести (вторичной консолидации) через различные промежутки времени: 9 часов (=0.001 года), 24 часа (=0.0025 года), 4 суток (=0.01 года), 61 суток (= 0.168 года), 1 год, 10 лет.

Для определения осадки ползучести торфяной залежи необходимо задать соответствующие характеристики в диалоговом окне «Характеристики грунтов», при переходе на вкладку «Ползучесть» (рис. 3). В таблице характеристик грунтов нужно задать следующие параметры:

  1. Номер ИГЭ. Этот номер должен соответствовать номеру ИГЭ в основной таблице Характеристик грунтов.
  2. Результаты компрессионных испытаний грунта (зависимость параметра ползучести от давления):
    1. Давление, Р.
    2. Параметр ползучести bk.

Исходные данные для расчёта деформаций ползучести.PNG

Рис. 10. Исходные данные для расчёта деформаций ползучести.

1. Решение задачи.

Как упоминалось в пункте 1.3 из данной статьи, ползучесть является следствием первичной консолидации и развивается после того, как степень консолидации U достигает 95% и более. Поэтому, чтобы определить начальное время, после которого будут развиваться деформации ползучести, нужно определить время установившейся консолидации t_e, используя формулу (8):

Ф-ла 8.10.png

(10)

Поскольку te= 0.00189 года, значит в предшествующие промежутки времени деформаций ползучести не будет. То есть, для промежутка времени: 9 часов (=0.001 года) – деформация ползучести S2 – будет равна нулю.

Далее рассчитаем деформации ползучести для остальных промежутков времени. Для каждого элементарного слоя, по интерполяции определим параметр ползучести bk, который зависит от дополнительного давления (давления от внешней нагрузки) в каждом слое. Результаты расчёта деформаций ползучести запишем в табличном виде:


Таблица 8. Расчёт деформаций ползучести для времени t = 24 часа = 0.0025 года.

Отметка, м

Толщина слоя, м

σz, т/м2 (на вершине слоя)

Параметр ползучести bk

Время установившейся консолидации te, м

Осадка ползучести S2, м

ρ S2, м

Осадка консолидации S1, м
(рассчитана заранее)

Мгновенная осадка S0, м
(рассчитана заранее)

Полные деформации основания Ss, м

97

-

-

-

-

-

0.000592

0.36

0.098

0.4586

96

97 – 96 = 1

46.42

0.00114

0.00189

0.000255

95

96 – 95 = 1

25.62

0.00077

0.00189

0.00017

94

95 – 94 = 1

15.33

0.00045

0.00189

0.0001

93

94 – 93 = 1

9.98

0.0003

0.00189

0.000067


Рис. 11. Сравнение результатов расчёта основания:
а) без учёта ползучести;
б) с учётом деформаций ползучести.

Сравнение результатов расчёта основания: а) без учёта ползучести

Сравнение результатов расчёта основания: с учётом деформаций ползучести

а)

б)


Таблица 9. Расчёт деформаций ползучести для времени t = 4 суток = 0.01 года.

Отметка, м

Толщина слоя, м

σz, т/м2 (на вершине слоя)

Параметр ползучести bk

Время установившейся консолидации te, м

Осадка ползучести S2, м

ρ S2, м

Осадка консолидации S1, м
(рассчитана заранее)

Мгновенная осадка S0, м
(рассчитана заранее)

Полные деформации основания Ss, м

97

-

-

-

-

-

0.00349

0.36877

0.098

0.47026

96

97 – 96 = 1

46.42

0.00114

0.00189

0.00151

95

96 – 95 = 1

25.62

0.00077

0.00189

0.001

94

95 – 94 = 1

15.33

0.00045

0.00189

0.00059

93

94 – 93 = 1

9.98

0.0003

0.00189

0.00039


Рис. 12. Сравнение результатов расчёта основания:
а) без учёта ползучести;
б) с учётом деформаций ползучести.

Сравнение результатов расчёта основания: а) без учёта ползучести

Сравнение результатов расчёта основания: с учётом деформаций ползучести

а)

б)


Таблица 10. Расчёт деформаций ползучести для времени t = 61 суток = 0.168 года.

Отметка, м

Толщина слоя, м

σz, т/м2 (на вершине слоя)

Параметр ползучести bk

Время установившейся консолидации te, м

Осадка ползучести S2, м

ρ S2, м

Осадка консолидации S1, м
(рассчитана заранее)

Мгновенная осадка S0, м
(рассчитана заранее)

Полные деформации основания Ss, м

97

-

-

-

-

-

0.00936

0.36877

0.098

0.476

96

97 – 96 = 1

46.42

0.00114

0.00189

0.004

95

96 – 95 = 1

25.62

0.00077

0.00189

0.00276

94

95 – 94 = 1

15.33

0.00045

0.00189

0.0016

93

94 – 93 = 1

9.98

0.0003

0.00189

0.001


Рис. 13. Сравнение результатов расчёта основания:
а) без учёта ползучести;
б) с учётом деформаций ползучести.

Сравнение результатов расчёта основания: а) без учёта ползучести

Сравнение результатов расчёта основания: с учётом деформаций ползучести

а)

б)


Таблица 11. Расчёт деформаций ползучести для времени t = 1 год.

Отметка, м

Толщина слоя, м

σz, т/м2 (на вершине слоя)

Параметр ползучести bk

Время установившейся консолидации te, м

Осадка ползучести S2, м

ρ S2, м

Осадка консолидации S1, м
(рассчитана заранее)

Мгновенная осадка S0, м
(рассчитана заранее)

Полные деформации основания Ss, м

97

-

-

-

-

-

0.01332

0.36877

0.098

0.4801

96

97 – 96 = 1

46.42

0.00114

0.00189

0.0057

95

96 – 95 = 1

25.62

0.00077

0.00189

0.00386

94

95 – 94 = 1

15.33

0.00045

0.00189

0.00226

93

94 – 93 = 1

9.98

0.0003

0.00189

0.0015


Рис. 14. Сравнение результатов расчёта основания:
а) без учёта ползучести;
б) с учётом деформаций ползучести.

Сравнение результатов расчёта основания: а) без учёта ползучести

Сравнение результатов расчёта основания: с учётом деформаций ползучести

а)

б)


Таблица 12. Расчёт деформаций ползучести для времени t = 10 лет.

Отметка, м

Толщина слоя, м

σz, т/м2 (на вершине слоя)

Параметр ползучести bk

Время установившейся консолидации te, м

Осадка ползучести S2, м

ρ S2, м

Осадка консолидации S1, м
(рассчитана заранее)

Мгновенная осадка S0, м
(рассчитана заранее)

Полные деформации основания Ss, м

97

-

-

-

-

-

0.01808

0.36877

0.098

0.485

96

97 – 96 = 1

46.42

0.00114

0.00189

0.0078

95

96 – 95 = 1

25.62

0.00077

0.00189

0.00528

94

95 – 94 = 1

15.33

0.00045

0.00189

0.003

93

94 – 93 = 1

9.98

0.0003

0.00189

0.002


Рис. 15. Сравнение результатов расчёта основания:
а) без учёта ползучести;
б) с учётом деформаций ползучести.

Сравнение результатов расчёта основания: а) без учёта ползучести

Сравнение результатов расчёта основания: с учётом деформаций ползучести

а)

б)


Рис. 16. График развития осадки консолидации и ползучести.

Рис. 16. График развития осадки консолидации и ползучести.

Импорт результатов расчёта из системы ГРУНТ в ВИЗОР

В ЛИРА-САПР версии 2022 появилась возможность передать значения коэффициентов постели С1, С2, рассчитанных с учётом консолидации и ползучести в различные промежутки времени t, из модели грунта (из системы ГРУНТ) в основную расчётную схему (в систему ВИЗОР).

Пример импорта коэффициентов постели показан в файлах “Импорт_С1_С2.lir” и “Импорт_С1_С2.sld”. Ссылки на скачивание файлов можно найти внизу данной статьи.

Для того, чтобы импортировать коэффициенты постели С1, С2 с учётом консолидации и ползучести из системы ГРУНТ, необходимо сделать следующее:

  1. 1. Для основной расчётной схемы необходимо создать модель грунта.
  2. 2. В созданной модели грунта (система ГРУНТ) следует задать исходные данные для расчёта консолидации, как показано в Примере 1 (рисунок 2).
  3. 3. Затем следует вернуться в основную расчётную модель конструкции (система ВИЗОР) и открыть диалоговое окно “Модель грунта”. В диалоговом окне “Модель грунта” нажмите кнопку “Получить модель грунта из системы ГРУНТ (рисунок 17).
  4. Рис. 17. Импорт коэффициентов постели из системы ГРУНТ

    Рис. 17. Импорт коэффициентов постели из системы ГРУНТ.
  5. 4. Для того, чтобы выбрать время t, при котором нужно импортировать коэффициенты постели С1, С2, - поставьте галочку “Передать параметры из закладки “расчет С1, С2”, как показано на рисунке 18.
  6. Рис. 18. Редактирование времени t для импорта коэффициентов постели

    Рис. 18. Редактирование времени t для импорта коэффициентов постели.
  7. 5. В списке “Время, годы” пользователь может выбрать время для расчёта консолидации и ползучести при импорте коэффициентов постели (рисунок 19).
  8. Рис. 19. Выбор времени t для импорта коэффициентов постели

    Рис. 19. Выбор времени t для импорта коэффициентов постели.
  9. 6. После выбора времени t нужно нажать на кнопку “Пересчитать С1, С2” (рисунок 20). После этого результаты расчётов, которые будут отображены на мозаике коэффициентов постели – будут рассчитаны с учётом деформаций консолидации и ползучести. Результаты импорта коэффициентов постели из системы ГРУНТ в систему ВИЗОР показаны на рисунках 21 и 22.
  10. Рис. 20. Расчёт С1, С2

    Рис. 20. Расчёт С1, С2.

    Рис. 21. Результаты расчёта С1, С2 в системе ГРУНТ

    Рис. 21. Результаты расчёта С1, С2 в системе ГРУНТ.

    Рис. 22. Результаты расчёта С1, С2 в системе ВИЗОР

    Рис. 22. Результаты расчёта С1, С2 в системе ВИЗОР.

Импорт_С1_С2.lir

Импорт_С1_С2.sld


Заметили ошибку? Выделите ее и нажмите Ctrl+Enter, чтобы сообщить нам.

  • 10
  • 5.6K
Поделиться публикацией:

Ольга Башинская

Кандидат технических наук - специальность "Строительные конструкции, здания и сооружения".
Инженер-программист компании «ЛИРА САПР».
Разработка программных комплексов.

Другие публикации этого автора


Комментарии 10

Здравствуйте, Ольга! Очень понравилась ваши расчеты по структурно-неустойчивым грунтам. Есть вопрос в расчете консолидации и ползучести непонятен масштаб графика на рис. 16, деления для значений осадок одинаковые, а значения осадок варьируются от 0,01 до 0,5. Конечная осадка по расчетам получилась 0,485 м, а на графике более 0,55 м? С уважением! Владимир Конюшков
Ответить
Владимир, здравствуйте! Благодарим Вас за то, что указали на ошибку в статье! Рисунок 16 исправили в соответствии с замечаниями. С уважением, Башинская Ольга.
Ответить
Здравствуйте, Ольга! Есть вопрос касательно расчета мгновенной осадки. Не могли бы в этой статье расписать формулу если конечно не сложно.
Ответить
Алмас, здравствуйте! Благодарим за Ваш вопрос. Мгновенная осадка основания рассчитывается в зависимости от выбранных норм. Расчёт консолидации доступен при выборе следующих нормативных документов: ДБН В.2.1-10:2009 (в этом случае, мгновенная осадка рассчитывается по формуле Д.1); СП 22.13330.2011/2016 (в этом случае, мгновенная осадка рассчитывается по формуле 5.16); СП РК 5.01-102-2013 (в этом случае, мгновенная осадка рассчитывается по формуле 17). В перечисленных выше документах формула определения мгновенной осадки совпадает, и приобретает вид:
ОтветитьЕщё 3
Добрый день ! Подскажите ,пожалуйста, где можно найти (книги ,нормативные документы ) с описанием применения метода суммирования осадок Ss=S0+S1+S2 (где Ss – полные деформации основания; S0 – мгновенная осадка основания; S1 – осадка, вызванная консолидацией; S2 – осадка, вызванная ползучестью (вторичная консолидация)?
Ответить
Здравствуйте. Попробуйте найти в интернете Учебное пособие по курсовой работе«Прогноз развития осадок оснований, сложенных водонасыщенными пылевато-глинистыми грунтами, во времени» Казанского строительного университета. Там хорошо расписан пример.
ОтветитьЕщё 1
Написать