Расчет деформаций других типов грунтов можно найти по ссылке.

Расчёт деформаций вечномёрзлых грунтов реализован в соответствии с нормами СП 25.13330.2012 «Основания и фундаменты на вечномёрзлых грунтах».

1. Полные деформации основания

При наличии вечномёрзлых грунтов, полные деформации основания определяются по формуле (СП 25.13330.2012, пункт 7.3.6):

Ф-ла 7.1.png

(1)

где S – осадка оттаивающего в процессе эксплуатации сооружения; Sth – составляющая осадки основания, обусловленная действием собственного веса оттаивающего грунта; Sp – составляющая осадки основания, обусловленная дополнительным давлением на грунт от действия веса сооружения.

2. Определение расчетной глубины оттаивания грунтов H

Деформациям оттаивающего основания (осадка) наращиваются в пределах расчетной глубины оттаивания H.

В качестве расчетной глубины оттаивания грунтов H принимается минимальная глубина сжимаемой толщи, которая задана пользователем в диалоговом окне «Параметры расчёта» (рис. 1).

7.1.png

Рис. 1. Задание расчётной глубины оттаивания грунтов Н.

3. Определение составляющей осадки основания Sth

Составляющая осадки основания от действия собственного веса грунта определяется по формуле (СП 25, пункт 7.3.7, формула 7.20):

Ф-ла 7.2.png

(2)

где Ath,i – коэффициент оттаивания i-го слоя грунта, доли единицы; mth,i – коэффициент сжимаемости, (т/м2)-1; σzg,i – вертикальное напряжение от собственного веса грунта в середине i-го слоя грунта, т/м2; hi - толщина i-го слоя.

4. Определение составляющей осадки основания Sp

Составляющая осадки основания Sp от действия веса сооружения рассчитывается в зависимости от напряжений в грунте от веса сооружения σр и коэффициента сжимаемости mth. При этом, используется модель упругого полупространства, а напряжения σр рассчитываются по методу Буссинеска.

5. Определение коэффициентов Ath и mth

В ПК ЛИРА-САПР реализовано 2 варианта формирования коэффициентов Ath и mth:

1. Пользователь может задать соответствующие коэффициенты оттаивания Ath и сжимаемости mth для указанных слоёв грунта (рис. 2).

7.2.png

Рис. 2. Задание коэффициентов оттаивания Ath и сжимаемости mth.

2. Пользователь может задать данные по результатам компрессионных испытаний (зависимость относительной деформации образца при оттаивании εth от давления P), как показано на рис. 3. В таком случае, коэффициенты Ath и mth будут рассчитаны по формулам 3, 4.

7.3.png

Рис. 3. Задание данных компрессионных испытаний.

Ф-ла 7.3.png

(3)

Ф-ла 7.4.png

(4)

где e1, e2 - относительные деформации грунта после оттаивания; Р1, Р2 – давление в начале и в конце элементарного слоя грунта (рис. 4). Величины давлений Р1, Р2 принимаются равными суммарным напряжениям σs (суммарного напряжения от собственного веса грунта и внешней нагрузки: σsz,pz,g) в соответствующих точках.

7.4.png

Рис. 4. Зависимость относительной деформации от давления.

Пример расчёта деформации основания при наличии вечномёрзлых грунтов

Необходимо определить осадку оттаивающего в процессе эксплуатации столбчатого фундамента. Геометрические размеры подошвы 2х3 метра, глубина заложения – 1.5 метра. Среднее давление под подошвой фундамента составляет Р = 80 т. Данные ИГЭ вечномёрзлых грунтов на строительной площадке приведены в таблице 1.

Таблица 1. Грунтовые условия.

№ ИГЭ

Тип грунта

Удельный вес,
кН/м3

Удельный вес частиц,
кН/м3

Коэффициент пористости е

Модуль деформации,
кН/м2

Ath коэффициент оттаивания,
доли единицы

mth коэффициент сжимаемости,
(т/м2)-1

1

Песок мелкий

17

26.5

0.72

19500

0.0175

0.0005

2

Суглинок

17.7

27.1

0.76

10300

0.2121

0.00095

3

Суглинок лессовидный

15.7

27.2

0.93

10000

0.2423

0.001


На рис. 5 показаны графики напряжений от собственного веса грунта и от внешней нагрузки, посчитанные заранее

Расчётная схема для определения просадки грунта

Рис.5. Расчётная схема для определения просадки грунта.
σzp- эпюра давления от внешней нагрузки; σzg – эпюра давления от собственного веса грунта в естественном состоянии.

1. Назначение коэффициентов оттаивания Ath и mth.

Значения коэффициентов Ath и mth задаются в диалоговом окне «Характеристики грунтов», при переходе на вкладку «Вечномёрзлые» (рис. 6). В таблице характеристик вечномёрзлых грунтов нужно задать следующие параметры:

  1. Номер ИГЭ. Этот номер должен соответствовать номеру ИГЭ в основной таблице Характеристик грунтов.
  2. Коэффициенты оттаивания Ath и сжимаемости mth, либо давление Р и соответствующее значение относительной деформации грунта.

7.6.png

Рис. 6. Задание коэффициентов Ath и mth.

2. Назначение расчётной глубины оттаивания грунтов Н.

Для того, чтобы задать глубину оттаивания грунтов, нужно на панели МЕНЮ кликнуть «Упругое основание», затем вызвать диалоговое окно «Параметры расчёта» (Рис. 7). Далее необходимо задать значение расчётной глубины оттаивания Н в диалоговом окне «Параметры расчёта» в ячейке «Минимальная глубина сжимаемой толщи» (Рис. 8).

7.7.png

Рис. 7. Параметры расчёта.

7.8.png

Рис. 8. Назначение глубины оттаивания грунтов.

3. Определение составляющей осадки основания Sp.

Составляющая осадки основания Sp от действия веса сооружения рассчитывается по модели упругого полупространства, используя коэффициент сжимаемости mth, а также напряжения σр, которые получены заранее по методу Буссинеска. В результате расчёта по заданным исходным данным Sp = 0.0607.

4. Определение деформаций осадки Sth.

Используя значения напряжений от собственного веса грунта σzg (рис. 5), определим деформаций осадки по формуле 2. Деформации осадки будут наращиваться только в пределах глубины оттаивания грунтов Н = 3м, которая была задана заранее (рис. 8). Результаты расчёта занесём в таблицу 2.

Таблица 3. Расчёт деформаций просадки.

Отметка, м

Толщина слоя, м

σzg, т/м2

σzg, т/м2
(в середине слоя)

Ath,i
(в середине слоя)

mth,i
(в середине слоя)

Sth, м
(в середине слоя)

98.5

-

2.55

-

-

-

-

98

98.5 – 98 = 0.5

3.4

Табл 7.1.png

0.0175

0.0005

0.00949

97

98 – 97 = 1

5.1

Табл 7.2.png

0.0175

0.0005

0.0196

96

97 – 96 = 1

6.8

Табл 7.3.png

0.0175

0.0005

0.02047

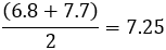
95.5

96 – 95.5 = 0.5

7.7

Табл 7.4.png

0.2121

0.00095

0.1095

Деформации осадки от собственного веса Sth

0.159


Полные деформации вечномёрзлых грунтов будут равны:

Ф-ла 7.5.png

(5)

Следовательно, коэффициент постели С1 будет рассчитан по формуле (метод 2, модель Винклера):

Ф-ла 7.6.png

(6)

Рис. 9. Результаты расчёта основания вечномёрзлого грунта.

Рис. 9. Результаты расчёта основания вечномёрзлого грунта.

Пример определения деформаций вечномёрзлых грунтов


Заметили ошибку? Выделите ее и нажмите Ctrl+Enter, чтобы сообщить нам.

  • 4
  • 4.6K
Поделиться публикацией:

Ольга Башинская

Кандидат технических наук - специальность "Строительные конструкции, здания и сооружения".
Инженер-программист компании «ЛИРА САПР».
Разработка программных комплексов.

Другие публикации этого автора


Комментарии 4

Отсутствует СП25.13330.2020 в сертификате соответствия. На основании чего выполнен расчет и куда его приложить эксперту?
Ответить
Действительно, ссылка на не действующий СП 25.13330.2012
Ответить
Статья 2021 года
Ответить
Реализована ли возможность расчета свайного основания в вечномерзлых грунтах?
Ответить
Написать