Objective

To determine the stress–strain state of a beam fixed at both ends subjected to uniform heating.

Reference

S. P. Timoshenko, Strength of Materials, Vol. 1: Elementary Theory and Problems, Moscow, Nauka, 1965, p. 35.

Problem statement

To determine the normal stresses in the cross-sections of the bars forming the system.

Design model

The system consists of two coaxial horizontal bars with square cross-sections, rigidly connected at a common node and rigidly fixed at the opposite end nodes.

The system is subjected to a temperature change Δt relative to the initial temperature.

Initial geometry of analytical model

Initial geometry of analytical model

Initial geometry of FE model

Initial geometry of FE model

Geometry

Length of the left bar L1 = 100 cm
Length of the right bar L2 = 100 cm
Cross-sectional area of the left bar F1 = 1,0 cm
Cross-sectional area of the right bar F2 = 2,0 cm

Material properties

Modulus of elasticity for steel Ås = 2,0 * 106 kg/cm2
Coefficient of linear thermal expansion for steel αs = 1,25 * 10-5 1/ ºC

Loads

Temperature change of the system Δt = 60 ºC


Output data

Diagram of axial forces N (kg)

Diagram of axial forces N (kg)

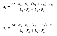
Analytical solution

In the analytical solution, the normal stresses in the cross-sections of the system’s bars are determined by the following formulas:

Comparison of calculation results

Parameter Analytical solution LIRA-FEM Error, %
normal stress σ (left bar), kg/cm2 -2000 -2000.0 / (1.0 * 1.0) = -2000.000 0
normal stress σ (right bar), kg/cm2 -1000 -2000.0 / (1.0 * 2.0) = -1000.000 0

Download verification test


If you find a mistake and want to inform us about it, select the mistake, then hold down the CTRL key and click ENTER.

  • 128


Comments

Write