Objective

To determine the deformed state of a simply supported beam (with three stiffness steps) subjected to concentrated loads, neglecting transverse shear deformation. Transverse displacements and rotations are verified.

Reference

Pisarenko G.S., Yakovlev A.P., Matveev V.V. Handbook of Strength of Materials. Kyiv: Naukova Dumka, 1988.

Problem statement

To determine the rotations of the beam cross-sections and the transverse displacements at the points of load application.

Design model

A simply supported stepped beam consisting of three segments with different stiffness properties is subjected to three concentrated loads (P). The beam has a single span and is hinged at both supports.

Initial geometry of analytical model

Initial geometry of analytical model

Initial geometry of FE model

Initial geometry of FE model

Geometry

Half-span length of each beam span L = 1 m
Moment of inertia I = 5 * 10-6 m4
Cross-sectional area F = 1 * 10-2 m2
I1 : I2 : I3 = 1 : 2 : 3
F1 : F2 : F3 = 1 : 2 : 3

Material properties

Modulus of elasticity Е = 2,0 * 1011 Pa

Loads

Load q = 10 kN/m
Concentrated load P = 1 kN


Output data

Transverse displacements, w (mm)

Transverse displacements, w (mm)

Rotation angles, θ (rad*1000)

Rotation angles, θ (rad*1000)

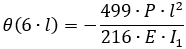
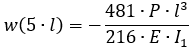
Analytical solution

In the analytical solution, the rotations at the support sections and the deflections at the points of application of the concentrated loads are calculated using the following formulas:



Comparison of calculation results

Parameter Analytical solution LIRA-FEM Error, %
Transverse displacements, mm
w (l) -3.02 -3.02 0
w (3l) -4.94 -4.94 0
w (5l) -2.23 -2.23 0
Rotation angles, θ (rad*1000)
θ (0) 3.27 3.27 0
θ (6l) -2.31 -2.31 0

Download verification test


If you find a mistake and want to inform us about it, select the mistake, then hold down the CTRL key and click ENTER.

  • 157


Comments

Write